CBP Form 7553 Notice of Intent to Export, Destroy or Return Merchandise for Purposes of Drawback

Notification Icon This version of the form is not currently in use and is provided for reference only. Download this version of CBP Form 7553 for the current year.

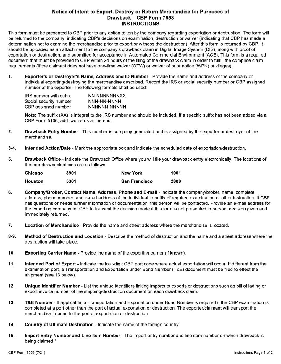
CBP Form 7553 Notice of Intent to Export, Destroy or Return Merchandise for Purposes of Drawback

What Is CBP Form 7553?

This is a legal form that was released by the U.S. Department of Homeland Security - Customs and Border Protection on July 1, 2021 and used country-wide. As of today, no separate filing guidelines for the form are provided by the issuing department.

FAQ

Q: What is CBP Form 7553?
A: CBP Form 7553 is the Notice of Intent to Export, Destroy or Return Merchandise for Purposes of Drawback.

Q: What is the purpose of CBP Form 7553?
A: CBP Form 7553 is used to notify Customs and Border Protection (CBP) of the intention to export, destroy, or return merchandise for the purpose of claiming drawback.

Q: What is drawback?
A: Drawback is a refund of duties, taxes, and certain fees collected on imported merchandise that is subsequently exported or destroyed.

Q: Who needs to use CBP Form 7553?
A: Importers, manufacturers, or exporters who want to claim drawback on imported merchandise need to use CBP Form 7553.

Q: Can I use CBP Form 7553 to claim drawback on any merchandise?
A: CBP Form 7553 can be used to claim drawback on any merchandise that is eligible for drawback under the relevant laws and regulations.

Q: Are there any fees associated with filing CBP Form 7553?
A: There are no fees associated with filing CBP Form 7553.

ADVERTISEMENT

Form Details:

  • Released on July 1, 2021;
  • The latest available edition released by the U.S. Department of Homeland Security - Customs and Border Protection;
  • Easy to use and ready to print;
  • Yours to fill out and keep for your records;
  • Compatible with most PDF-viewing applications;
  • Fill out the form in our online filing application.

Download a fillable version of CBP Form 7553 by clicking the link below or browse more documents and templates provided by the U.S. Department of Homeland Security - Customs and Border Protection.

Download CBP Form 7553 Notice of Intent to Export, Destroy or Return Merchandise for Purposes of Drawback

4.8 of 5 (24 votes)
  • CBP Form 7553 Notice of Intent to Export, Destroy or Return Merchandise for Purposes of Drawback

    1

  • CBP Form 7553 Notice of Intent to Export, Destroy or Return Merchandise for Purposes of Drawback, Page 2

    2

  • CBP Form 7553 Notice of Intent to Export, Destroy or Return Merchandise for Purposes of Drawback, Page 3

    3

  • CBP Form 7553 Notice of Intent to Export, Destroy or Return Merchandise for Purposes of Drawback, Page 4

    4

  • CBP Form 7553 Notice of Intent to Export, Destroy or Return Merchandise for Purposes of Drawback, Page 5

    5

  • CBP Form 7553 Notice of Intent to Export, Destroy or Return Merchandise for Purposes of Drawback, Page 1
  • CBP Form 7553 Notice of Intent to Export, Destroy or Return Merchandise for Purposes of Drawback, Page 2
  • CBP Form 7553 Notice of Intent to Export, Destroy or Return Merchandise for Purposes of Drawback, Page 3
  • CBP Form 7553 Notice of Intent to Export, Destroy or Return Merchandise for Purposes of Drawback, Page 4
  • CBP Form 7553 Notice of Intent to Export, Destroy or Return Merchandise for Purposes of Drawback, Page 5
Prev 1 2 3 4 5 Next
ADVERTISEMENT

Related Documents