Form M-1 Report for Multiple Employer Welfare Arrangements (Mewas) and Certain Entities Claiming Exception (Eces)

Notification Icon This version of the form is not currently in use and is provided for reference only. Download this version of Form M-1 for the current year.

Form M-1 Report for Multiple Employer Welfare Arrangements (Mewas) and Certain Entities Claiming Exception (Eces)

What Is Form M-1?

This is a legal form that was released by the U.S. Department of Labor and used country-wide. As of today, no separate filing guidelines for the form are provided by the issuing department.

FAQ

Q: What is Form M-1?
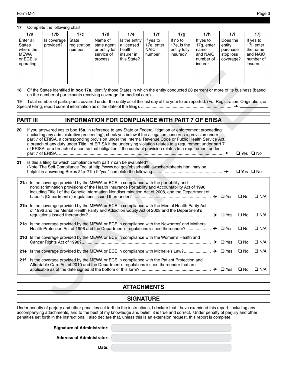
A: Form M-1 is a report for Multiple Employer Welfare Arrangements (MEWAs) and certain entities claiming exception (ECEs).

Q: What are Multiple Employer Welfare Arrangements (MEWAs)?
A: MEWAs are arrangements that provide welfare benefits, such as health insurance, to the employees of two or more employers.

Q: What are Certain Entities Claiming Exception (ECEs)?
A: ECEs are entities that claim exception from some or all requirements of being classified as a MEWA.

Q: Who needs to file Form M-1?
A: MEWAs and ECEs are required to file Form M-1.

Q: What information is reported on Form M-1?
A: Form M-1 requires reporting on the structure, operation, and financial condition of the MEWA or ECE.

Q: When is Form M-1 due?
A: Form M-1 is due by the last day of the seventh month after the end of the MEWA's or ECE's plan year.

Q: Are there any penalties for not filing Form M-1?
A: Yes, failure to file Form M-1 can result in penalties and sanctions imposed by the Department of Labor.

ADVERTISEMENT

Form Details:

  • The latest available edition released by the U.S. Department of Labor;
  • Easy to use and ready to print;
  • Yours to fill out and keep for your records;
  • Compatible with most PDF-viewing applications;
  • Fill out the form in our online filing application.

Download a printable version of Form M-1 by clicking the link below or browse more documents and templates provided by the U.S. Department of Labor.

Download Form M-1 Report for Multiple Employer Welfare Arrangements (Mewas) and Certain Entities Claiming Exception (Eces)

4.8 of 5 (22 votes)
  • Form M-1 Report for Multiple Employer Welfare Arrangements (Mewas) and Certain Entities Claiming Exception (Eces)

    1

  • Form M-1 Report for Multiple Employer Welfare Arrangements (Mewas) and Certain Entities Claiming Exception (Eces), Page 2

    2

  • Form M-1 Report for Multiple Employer Welfare Arrangements (Mewas) and Certain Entities Claiming Exception (Eces), Page 3

    3

  • Form M-1 Report for Multiple Employer Welfare Arrangements (Mewas) and Certain Entities Claiming Exception (Eces), Page 4

    4

  • Form M-1 Report for Multiple Employer Welfare Arrangements (Mewas) and Certain Entities Claiming Exception (Eces), Page 5

    5

  • Form M-1 Report for Multiple Employer Welfare Arrangements (Mewas) and Certain Entities Claiming Exception (Eces), Page 6

    6

  • Form M-1 Report for Multiple Employer Welfare Arrangements (Mewas) and Certain Entities Claiming Exception (Eces), Page 7

    7

  • Form M-1 Report for Multiple Employer Welfare Arrangements (Mewas) and Certain Entities Claiming Exception (Eces), Page 8

    8

  • Form M-1 Report for Multiple Employer Welfare Arrangements (Mewas) and Certain Entities Claiming Exception (Eces), Page 9

    9

  • Form M-1 Report for Multiple Employer Welfare Arrangements (Mewas) and Certain Entities Claiming Exception (Eces), Page 10

    10

  • Form M-1 Report for Multiple Employer Welfare Arrangements (Mewas) and Certain Entities Claiming Exception (Eces), Page 11

    11

  • Form M-1 Report for Multiple Employer Welfare Arrangements (Mewas) and Certain Entities Claiming Exception (Eces), Page 12

    12

  • Form M-1 Report for Multiple Employer Welfare Arrangements (Mewas) and Certain Entities Claiming Exception (Eces), Page 13

    13

  • Form M-1 Report for Multiple Employer Welfare Arrangements (Mewas) and Certain Entities Claiming Exception (Eces), Page 14

    14

  • Form M-1 Report for Multiple Employer Welfare Arrangements (Mewas) and Certain Entities Claiming Exception (Eces), Page 15

    15

  • Form M-1 Report for Multiple Employer Welfare Arrangements (Mewas) and Certain Entities Claiming Exception (Eces), Page 16

    16

  • Form M-1 Report for Multiple Employer Welfare Arrangements (Mewas) and Certain Entities Claiming Exception (Eces), Page 17

    17

  • Form M-1 Report for Multiple Employer Welfare Arrangements (Mewas) and Certain Entities Claiming Exception (Eces), Page 18

    18

  • Form M-1 Report for Multiple Employer Welfare Arrangements (Mewas) and Certain Entities Claiming Exception (Eces), Page 19

    19

  • Form M-1 Report for Multiple Employer Welfare Arrangements (Mewas) and Certain Entities Claiming Exception (Eces), Page 20

    20

  • Form M-1 Report for Multiple Employer Welfare Arrangements (Mewas) and Certain Entities Claiming Exception (Eces), Page 21

    21

  • Form M-1 Report for Multiple Employer Welfare Arrangements (Mewas) and Certain Entities Claiming Exception (Eces), Page 22

    22

  • Form M-1 Report for Multiple Employer Welfare Arrangements (Mewas) and Certain Entities Claiming Exception (Eces), Page 23

    23

  • Form M-1 Report for Multiple Employer Welfare Arrangements (Mewas) and Certain Entities Claiming Exception (Eces), Page 24

    24

  • Form M-1 Report for Multiple Employer Welfare Arrangements (Mewas) and Certain Entities Claiming Exception (Eces), Page 25

    25

  • Form M-1 Report for Multiple Employer Welfare Arrangements (Mewas) and Certain Entities Claiming Exception (Eces), Page 26

    26

  • Form M-1 Report for Multiple Employer Welfare Arrangements (Mewas) and Certain Entities Claiming Exception (Eces), Page 27

    27

  • Form M-1 Report for Multiple Employer Welfare Arrangements (Mewas) and Certain Entities Claiming Exception (Eces), Page 28

    28

  • Form M-1 Report for Multiple Employer Welfare Arrangements (Mewas) and Certain Entities Claiming Exception (Eces), Page 29

    29

  • Form M-1 Report for Multiple Employer Welfare Arrangements (Mewas) and Certain Entities Claiming Exception (Eces), Page 30

    30

  • Form M-1 Report for Multiple Employer Welfare Arrangements (Mewas) and Certain Entities Claiming Exception (Eces), Page 31

    31

  • Form M-1 Report for Multiple Employer Welfare Arrangements (Mewas) and Certain Entities Claiming Exception (Eces), Page 32

    32

  • Form M-1 Report for Multiple Employer Welfare Arrangements (Mewas) and Certain Entities Claiming Exception (Eces), Page 33

    33

  • Form M-1 Report for Multiple Employer Welfare Arrangements (Mewas) and Certain Entities Claiming Exception (Eces), Page 34

    34

  • Form M-1 Report for Multiple Employer Welfare Arrangements (Mewas) and Certain Entities Claiming Exception (Eces), Page 35

    35

  • Form M-1 Report for Multiple Employer Welfare Arrangements (Mewas) and Certain Entities Claiming Exception (Eces), Page 36

    36

  • Form M-1 Report for Multiple Employer Welfare Arrangements (Mewas) and Certain Entities Claiming Exception (Eces), Page 37

    37

  • Form M-1 Report for Multiple Employer Welfare Arrangements (Mewas) and Certain Entities Claiming Exception (Eces), Page 38

    38

  • Form M-1 Report for Multiple Employer Welfare Arrangements (Mewas) and Certain Entities Claiming Exception (Eces), Page 39

    39

  • Form M-1 Report for Multiple Employer Welfare Arrangements (Mewas) and Certain Entities Claiming Exception (Eces), Page 40

    40

  • Form M-1 Report for Multiple Employer Welfare Arrangements (Mewas) and Certain Entities Claiming Exception (Eces), Page 41

    41

  • Form M-1 Report for Multiple Employer Welfare Arrangements (Mewas) and Certain Entities Claiming Exception (Eces), Page 42

    42

  • Form M-1 Report for Multiple Employer Welfare Arrangements (Mewas) and Certain Entities Claiming Exception (Eces), Page 43

    43

  • Form M-1 Report for Multiple Employer Welfare Arrangements (Mewas) and Certain Entities Claiming Exception (Eces), Page 44

    44

  • Form M-1 Report for Multiple Employer Welfare Arrangements (Mewas) and Certain Entities Claiming Exception (Eces), Page 45

    45

  • Form M-1 Report for Multiple Employer Welfare Arrangements (Mewas) and Certain Entities Claiming Exception (Eces), Page 46

    46

  • Form M-1 Report for Multiple Employer Welfare Arrangements (Mewas) and Certain Entities Claiming Exception (Eces), Page 47

    47

  • Form M-1 Report for Multiple Employer Welfare Arrangements (Mewas) and Certain Entities Claiming Exception (Eces), Page 48

    48

  • Form M-1 Report for Multiple Employer Welfare Arrangements (Mewas) and Certain Entities Claiming Exception (Eces), Page 49

    49

  • Form M-1 Report for Multiple Employer Welfare Arrangements (Mewas) and Certain Entities Claiming Exception (Eces), Page 50

    50

  • Form M-1 Report for Multiple Employer Welfare Arrangements (Mewas) and Certain Entities Claiming Exception (Eces), Page 51

    51

  • Form M-1 Report for Multiple Employer Welfare Arrangements (Mewas) and Certain Entities Claiming Exception (Eces), Page 52

    52

  • Form M-1 Report for Multiple Employer Welfare Arrangements (Mewas) and Certain Entities Claiming Exception (Eces), Page 53

    53

  • Form M-1 Report for Multiple Employer Welfare Arrangements (Mewas) and Certain Entities Claiming Exception (Eces), Page 54

    54

  • Form M-1 Report for Multiple Employer Welfare Arrangements (Mewas) and Certain Entities Claiming Exception (Eces), Page 55

    55

  • Form M-1 Report for Multiple Employer Welfare Arrangements (Mewas) and Certain Entities Claiming Exception (Eces), Page 56

    56

  • Form M-1 Report for Multiple Employer Welfare Arrangements (Mewas) and Certain Entities Claiming Exception (Eces), Page 57

    57

  • Form M-1 Report for Multiple Employer Welfare Arrangements (Mewas) and Certain Entities Claiming Exception (Eces), Page 58

    58

  • Form M-1 Report for Multiple Employer Welfare Arrangements (Mewas) and Certain Entities Claiming Exception (Eces), Page 59

    59

  • Form M-1 Report for Multiple Employer Welfare Arrangements (Mewas) and Certain Entities Claiming Exception (Eces), Page 60

    60

  • Form M-1 Report for Multiple Employer Welfare Arrangements (Mewas) and Certain Entities Claiming Exception (Eces), Page 61

    61

  • Form M-1 Report for Multiple Employer Welfare Arrangements (Mewas) and Certain Entities Claiming Exception (Eces), Page 62

    62

  • Form M-1 Report for Multiple Employer Welfare Arrangements (Mewas) and Certain Entities Claiming Exception (Eces), Page 63

    63

  • Form M-1 Report for Multiple Employer Welfare Arrangements (Mewas) and Certain Entities Claiming Exception (Eces), Page 64

    64

  • Form M-1 Report for Multiple Employer Welfare Arrangements (Mewas) and Certain Entities Claiming Exception (Eces), Page 65

    65

  • Form M-1 Report for Multiple Employer Welfare Arrangements (Mewas) and Certain Entities Claiming Exception (Eces), Page 66

    66

  • Form M-1 Report for Multiple Employer Welfare Arrangements (Mewas) and Certain Entities Claiming Exception (Eces), Page 67

    67

  • Form M-1 Report for Multiple Employer Welfare Arrangements (Mewas) and Certain Entities Claiming Exception (Eces), Page 68

    68

  • Form M-1 Report for Multiple Employer Welfare Arrangements (Mewas) and Certain Entities Claiming Exception (Eces), Page 69

    69

  • Form M-1 Report for Multiple Employer Welfare Arrangements (Mewas) and Certain Entities Claiming Exception (Eces), Page 70

    70

  • Form M-1 Report for Multiple Employer Welfare Arrangements (Mewas) and Certain Entities Claiming Exception (Eces), Page 71

    71

  • Form M-1 Report for Multiple Employer Welfare Arrangements (Mewas) and Certain Entities Claiming Exception (Eces), Page 72

    72

  • Form M-1 Report for Multiple Employer Welfare Arrangements (Mewas) and Certain Entities Claiming Exception (Eces), Page 73

    73

  • Form M-1 Report for Multiple Employer Welfare Arrangements (Mewas) and Certain Entities Claiming Exception (Eces), Page 74

    74

  • Form M-1 Report for Multiple Employer Welfare Arrangements (Mewas) and Certain Entities Claiming Exception (Eces), Page 75

    75

  • Form M-1 Report for Multiple Employer Welfare Arrangements (Mewas) and Certain Entities Claiming Exception (Eces), Page 76

    76

  • Form M-1 Report for Multiple Employer Welfare Arrangements (Mewas) and Certain Entities Claiming Exception (Eces), Page 77

    77

  • Form M-1 Report for Multiple Employer Welfare Arrangements (Mewas) and Certain Entities Claiming Exception (Eces), Page 78

    78

  • Form M-1 Report for Multiple Employer Welfare Arrangements (Mewas) and Certain Entities Claiming Exception (Eces), Page 79

    79

  • Form M-1 Report for Multiple Employer Welfare Arrangements (Mewas) and Certain Entities Claiming Exception (Eces), Page 80

    80

  • Form M-1 Report for Multiple Employer Welfare Arrangements (Mewas) and Certain Entities Claiming Exception (Eces), Page 81

    81

  • Form M-1 Report for Multiple Employer Welfare Arrangements (Mewas) and Certain Entities Claiming Exception (Eces), Page 82

    82

  • Form M-1 Report for Multiple Employer Welfare Arrangements (Mewas) and Certain Entities Claiming Exception (Eces), Page 83

    83

  • Form M-1 Report for Multiple Employer Welfare Arrangements (Mewas) and Certain Entities Claiming Exception (Eces), Page 1
  • Form M-1 Report for Multiple Employer Welfare Arrangements (Mewas) and Certain Entities Claiming Exception (Eces), Page 2
  • Form M-1 Report for Multiple Employer Welfare Arrangements (Mewas) and Certain Entities Claiming Exception (Eces), Page 3
  • Form M-1 Report for Multiple Employer Welfare Arrangements (Mewas) and Certain Entities Claiming Exception (Eces), Page 4
  • Form M-1 Report for Multiple Employer Welfare Arrangements (Mewas) and Certain Entities Claiming Exception (Eces), Page 5
  • Form M-1 Report for Multiple Employer Welfare Arrangements (Mewas) and Certain Entities Claiming Exception (Eces), Page 6
  • Form M-1 Report for Multiple Employer Welfare Arrangements (Mewas) and Certain Entities Claiming Exception (Eces), Page 7
  • Form M-1 Report for Multiple Employer Welfare Arrangements (Mewas) and Certain Entities Claiming Exception (Eces), Page 8
  • Form M-1 Report for Multiple Employer Welfare Arrangements (Mewas) and Certain Entities Claiming Exception (Eces), Page 9
  • Form M-1 Report for Multiple Employer Welfare Arrangements (Mewas) and Certain Entities Claiming Exception (Eces), Page 10
  • Form M-1 Report for Multiple Employer Welfare Arrangements (Mewas) and Certain Entities Claiming Exception (Eces), Page 11
  • Form M-1 Report for Multiple Employer Welfare Arrangements (Mewas) and Certain Entities Claiming Exception (Eces), Page 12
  • Form M-1 Report for Multiple Employer Welfare Arrangements (Mewas) and Certain Entities Claiming Exception (Eces), Page 13
  • Form M-1 Report for Multiple Employer Welfare Arrangements (Mewas) and Certain Entities Claiming Exception (Eces), Page 14
  • Form M-1 Report for Multiple Employer Welfare Arrangements (Mewas) and Certain Entities Claiming Exception (Eces), Page 15
  • Form M-1 Report for Multiple Employer Welfare Arrangements (Mewas) and Certain Entities Claiming Exception (Eces), Page 16
  • Form M-1 Report for Multiple Employer Welfare Arrangements (Mewas) and Certain Entities Claiming Exception (Eces), Page 17
  • Form M-1 Report for Multiple Employer Welfare Arrangements (Mewas) and Certain Entities Claiming Exception (Eces), Page 18
  • Form M-1 Report for Multiple Employer Welfare Arrangements (Mewas) and Certain Entities Claiming Exception (Eces), Page 19
  • Form M-1 Report for Multiple Employer Welfare Arrangements (Mewas) and Certain Entities Claiming Exception (Eces), Page 20
  • Form M-1 Report for Multiple Employer Welfare Arrangements (Mewas) and Certain Entities Claiming Exception (Eces), Page 21
  • Form M-1 Report for Multiple Employer Welfare Arrangements (Mewas) and Certain Entities Claiming Exception (Eces), Page 22
  • Form M-1 Report for Multiple Employer Welfare Arrangements (Mewas) and Certain Entities Claiming Exception (Eces), Page 23
  • Form M-1 Report for Multiple Employer Welfare Arrangements (Mewas) and Certain Entities Claiming Exception (Eces), Page 24
  • Form M-1 Report for Multiple Employer Welfare Arrangements (Mewas) and Certain Entities Claiming Exception (Eces), Page 25
  • Form M-1 Report for Multiple Employer Welfare Arrangements (Mewas) and Certain Entities Claiming Exception (Eces), Page 26
  • Form M-1 Report for Multiple Employer Welfare Arrangements (Mewas) and Certain Entities Claiming Exception (Eces), Page 27
  • Form M-1 Report for Multiple Employer Welfare Arrangements (Mewas) and Certain Entities Claiming Exception (Eces), Page 28
  • Form M-1 Report for Multiple Employer Welfare Arrangements (Mewas) and Certain Entities Claiming Exception (Eces), Page 29
  • Form M-1 Report for Multiple Employer Welfare Arrangements (Mewas) and Certain Entities Claiming Exception (Eces), Page 30
  • Form M-1 Report for Multiple Employer Welfare Arrangements (Mewas) and Certain Entities Claiming Exception (Eces), Page 31
  • Form M-1 Report for Multiple Employer Welfare Arrangements (Mewas) and Certain Entities Claiming Exception (Eces), Page 32
  • Form M-1 Report for Multiple Employer Welfare Arrangements (Mewas) and Certain Entities Claiming Exception (Eces), Page 33
  • Form M-1 Report for Multiple Employer Welfare Arrangements (Mewas) and Certain Entities Claiming Exception (Eces), Page 34
  • Form M-1 Report for Multiple Employer Welfare Arrangements (Mewas) and Certain Entities Claiming Exception (Eces), Page 35
  • Form M-1 Report for Multiple Employer Welfare Arrangements (Mewas) and Certain Entities Claiming Exception (Eces), Page 36
  • Form M-1 Report for Multiple Employer Welfare Arrangements (Mewas) and Certain Entities Claiming Exception (Eces), Page 37
  • Form M-1 Report for Multiple Employer Welfare Arrangements (Mewas) and Certain Entities Claiming Exception (Eces), Page 38
  • Form M-1 Report for Multiple Employer Welfare Arrangements (Mewas) and Certain Entities Claiming Exception (Eces), Page 39
  • Form M-1 Report for Multiple Employer Welfare Arrangements (Mewas) and Certain Entities Claiming Exception (Eces), Page 40
  • Form M-1 Report for Multiple Employer Welfare Arrangements (Mewas) and Certain Entities Claiming Exception (Eces), Page 41
  • Form M-1 Report for Multiple Employer Welfare Arrangements (Mewas) and Certain Entities Claiming Exception (Eces), Page 42
  • Form M-1 Report for Multiple Employer Welfare Arrangements (Mewas) and Certain Entities Claiming Exception (Eces), Page 43
  • Form M-1 Report for Multiple Employer Welfare Arrangements (Mewas) and Certain Entities Claiming Exception (Eces), Page 44
  • Form M-1 Report for Multiple Employer Welfare Arrangements (Mewas) and Certain Entities Claiming Exception (Eces), Page 45
  • Form M-1 Report for Multiple Employer Welfare Arrangements (Mewas) and Certain Entities Claiming Exception (Eces), Page 46
  • Form M-1 Report for Multiple Employer Welfare Arrangements (Mewas) and Certain Entities Claiming Exception (Eces), Page 47
  • Form M-1 Report for Multiple Employer Welfare Arrangements (Mewas) and Certain Entities Claiming Exception (Eces), Page 48
  • Form M-1 Report for Multiple Employer Welfare Arrangements (Mewas) and Certain Entities Claiming Exception (Eces), Page 49
  • Form M-1 Report for Multiple Employer Welfare Arrangements (Mewas) and Certain Entities Claiming Exception (Eces), Page 50
  • Form M-1 Report for Multiple Employer Welfare Arrangements (Mewas) and Certain Entities Claiming Exception (Eces), Page 51
  • Form M-1 Report for Multiple Employer Welfare Arrangements (Mewas) and Certain Entities Claiming Exception (Eces), Page 52
  • Form M-1 Report for Multiple Employer Welfare Arrangements (Mewas) and Certain Entities Claiming Exception (Eces), Page 53
  • Form M-1 Report for Multiple Employer Welfare Arrangements (Mewas) and Certain Entities Claiming Exception (Eces), Page 54
  • Form M-1 Report for Multiple Employer Welfare Arrangements (Mewas) and Certain Entities Claiming Exception (Eces), Page 55
  • Form M-1 Report for Multiple Employer Welfare Arrangements (Mewas) and Certain Entities Claiming Exception (Eces), Page 56
  • Form M-1 Report for Multiple Employer Welfare Arrangements (Mewas) and Certain Entities Claiming Exception (Eces), Page 57
  • Form M-1 Report for Multiple Employer Welfare Arrangements (Mewas) and Certain Entities Claiming Exception (Eces), Page 58
  • Form M-1 Report for Multiple Employer Welfare Arrangements (Mewas) and Certain Entities Claiming Exception (Eces), Page 59
  • Form M-1 Report for Multiple Employer Welfare Arrangements (Mewas) and Certain Entities Claiming Exception (Eces), Page 60
  • Form M-1 Report for Multiple Employer Welfare Arrangements (Mewas) and Certain Entities Claiming Exception (Eces), Page 61
  • Form M-1 Report for Multiple Employer Welfare Arrangements (Mewas) and Certain Entities Claiming Exception (Eces), Page 62
  • Form M-1 Report for Multiple Employer Welfare Arrangements (Mewas) and Certain Entities Claiming Exception (Eces), Page 63
  • Form M-1 Report for Multiple Employer Welfare Arrangements (Mewas) and Certain Entities Claiming Exception (Eces), Page 64
  • Form M-1 Report for Multiple Employer Welfare Arrangements (Mewas) and Certain Entities Claiming Exception (Eces), Page 65
  • Form M-1 Report for Multiple Employer Welfare Arrangements (Mewas) and Certain Entities Claiming Exception (Eces), Page 66
  • Form M-1 Report for Multiple Employer Welfare Arrangements (Mewas) and Certain Entities Claiming Exception (Eces), Page 67
  • Form M-1 Report for Multiple Employer Welfare Arrangements (Mewas) and Certain Entities Claiming Exception (Eces), Page 68
  • Form M-1 Report for Multiple Employer Welfare Arrangements (Mewas) and Certain Entities Claiming Exception (Eces), Page 69
  • Form M-1 Report for Multiple Employer Welfare Arrangements (Mewas) and Certain Entities Claiming Exception (Eces), Page 70
  • Form M-1 Report for Multiple Employer Welfare Arrangements (Mewas) and Certain Entities Claiming Exception (Eces), Page 71
  • Form M-1 Report for Multiple Employer Welfare Arrangements (Mewas) and Certain Entities Claiming Exception (Eces), Page 72
  • Form M-1 Report for Multiple Employer Welfare Arrangements (Mewas) and Certain Entities Claiming Exception (Eces), Page 73
  • Form M-1 Report for Multiple Employer Welfare Arrangements (Mewas) and Certain Entities Claiming Exception (Eces), Page 74
  • Form M-1 Report for Multiple Employer Welfare Arrangements (Mewas) and Certain Entities Claiming Exception (Eces), Page 75
  • Form M-1 Report for Multiple Employer Welfare Arrangements (Mewas) and Certain Entities Claiming Exception (Eces), Page 76
  • Form M-1 Report for Multiple Employer Welfare Arrangements (Mewas) and Certain Entities Claiming Exception (Eces), Page 77
  • Form M-1 Report for Multiple Employer Welfare Arrangements (Mewas) and Certain Entities Claiming Exception (Eces), Page 78
  • Form M-1 Report for Multiple Employer Welfare Arrangements (Mewas) and Certain Entities Claiming Exception (Eces), Page 79
  • Form M-1 Report for Multiple Employer Welfare Arrangements (Mewas) and Certain Entities Claiming Exception (Eces), Page 80
  • Form M-1 Report for Multiple Employer Welfare Arrangements (Mewas) and Certain Entities Claiming Exception (Eces), Page 81
  • Form M-1 Report for Multiple Employer Welfare Arrangements (Mewas) and Certain Entities Claiming Exception (Eces), Page 82
  • Form M-1 Report for Multiple Employer Welfare Arrangements (Mewas) and Certain Entities Claiming Exception (Eces), Page 83
Prev 1 2 3 4 5 ... 83 Next
ADVERTISEMENT