Form 737 Affidavit of Repossession of a Vehicle, Boat or Outboard Motor - Oklahoma

Notification Icon This version of the form is not currently in use and is provided for reference only. Download this version of Form 737 for the current year.

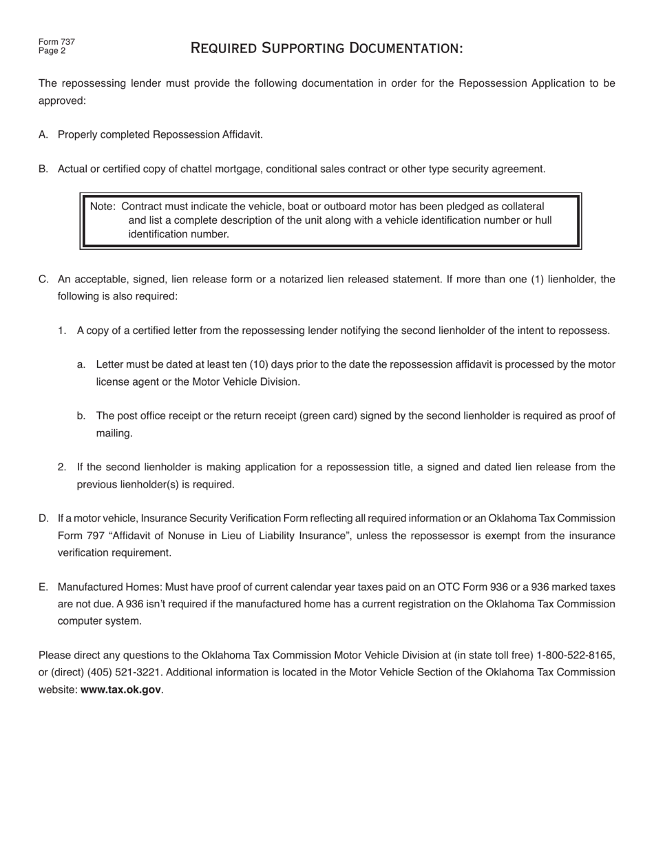
Form 737 Affidavit of Repossession of a Vehicle, Boat or Outboard Motor - Oklahoma

What Is Form 737?

This is a legal form that was released by the Oklahoma Tax Commission - a government authority operating within Oklahoma. As of today, no separate filing guidelines for the form are provided by the issuing department.

FAQ

Q: What is Form 737?
A: Form 737 is an Affidavit of Repossession of a Vehicle, Boat or Outboard Motor in Oklahoma.

Q: What is the purpose of Form 737?
A: The purpose of Form 737 is to document the repossession of a vehicle, boat or outboard motor in Oklahoma.

Q: Who can use Form 737?
A: Form 737 can be used by individuals or businesses who have repossessed a vehicle, boat or outboard motor in Oklahoma.

Q: Do I need to notarize Form 737?
A: Yes, Form 737 needs to be notarized by a Notary Public.

Q: What information is required on Form 737?
A: Form 737 requires information about the repossessed vehicle, boat or outboard motor, the seller, the buyer, and the reason for repossession.

Q: What should I do after completing Form 737?
A: After completing Form 737, you should submit it to the Oklahoma Tax Commission or a local Oklahoma Tag Agency along with the required fee.

Q: Can I get a copy of Form 737 for my records?
A: Yes, you can make a copy of Form 737 for your records before submitting it.

Q: Are there any other documents I need to submit with Form 737?
A: No, there are no other documents required to be submitted with Form 737.

ADVERTISEMENT

Form Details:

  • Released on June 1, 2019;
  • The latest edition provided by the Oklahoma Tax Commission;
  • Easy to use and ready to print;
  • Quick to customize;
  • Compatible with most PDF-viewing applications;
  • Fill out the form in our online filing application.

Download a fillable version of Form 737 by clicking the link below or browse more documents and templates provided by the Oklahoma Tax Commission.

Download Form 737 Affidavit of Repossession of a Vehicle, Boat or Outboard Motor - Oklahoma

4.6 of 5 (21 votes)
  • Form 737 Affidavit of Repossession of a Vehicle, Boat or Outboard Motor - Oklahoma

    1

  • Form 737 Affidavit of Repossession of a Vehicle, Boat or Outboard Motor - Oklahoma, Page 2

    2

  • Form 737 Affidavit of Repossession of a Vehicle, Boat or Outboard Motor - Oklahoma, Page 1
  • Form 737 Affidavit of Repossession of a Vehicle, Boat or Outboard Motor - Oklahoma, Page 2
Prev 1 2 Next
ADVERTISEMENT

Related Documents