Form S-11 (SEC Form 907) Registration of Securities of Certain Real Estate Companies

Notification Icon This version of the form is not currently in use and is provided for reference only. Download this version of Form S-11 (SEC Form 907) for the current year.

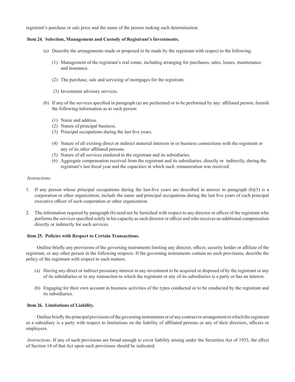
Form S-11 (SEC Form 907) Registration of Securities of Certain Real Estate Companies

What Is Form S-11 (SEC Form 907)?

This is a legal form that was released by the U.S. Securities and Exchange Commission on May 1, 2019 and used country-wide. As of today, no separate filing guidelines for the form are provided by the issuing department.

FAQ

Q: What is Form S-11?
A: Form S-11 is a registration form filed with the SEC for certain real estate companies.

Q: What is the purpose of Form S-11?
A: The purpose of Form S-11 is to register securities offered by real estate companies.

Q: Who is required to file Form S-11?
A: Certain real estate companies are required to file Form S-11 to register their securities.

Q: What information is required in Form S-11?
A: Form S-11 requires information about the company, its business, its financials, and the securities being registered.

Q: What is SEC Form 907?
A: SEC Form 907 refers to Form S-11, which is the registration form for certain real estate companies.

Q: Can individuals invest in securities registered on Form S-11?
A: Yes, individuals can invest in securities registered on Form S-11, subject to applicable securities laws and regulations.

Q: What happens after filing Form S-11?
A: After filing Form S-11, the SEC reviews the registration statement and may request additional information or clarification before declaring it effective.

Q: Is filing Form S-11 a guarantee of an investment's success?
A: No, filing Form S-11 does not guarantee the success or profitability of an investment. Investors should carefully review the information provided in the registration statement before making any investment decisions.

ADVERTISEMENT

Form Details:

  • Released on May 1, 2019;
  • The latest available edition released by the U.S. Securities and Exchange Commission;
  • Easy to use and ready to print;
  • Yours to fill out and keep for your records;
  • Compatible with most PDF-viewing applications;
  • Fill out the form in our online filing application.

Download a printable version of Form S-11 (SEC Form 907) by clicking the link below or browse more documents and templates provided by the U.S. Securities and Exchange Commission.

Download Form S-11 (SEC Form 907) Registration of Securities of Certain Real Estate Companies

4.7 of 5 (16 votes)
  • Form S-11 (SEC Form 907) Registration of Securities of Certain Real Estate Companies

    1

  • Form S-11 (SEC Form 907) Registration of Securities of Certain Real Estate Companies, Page 2

    2

  • Form S-11 (SEC Form 907) Registration of Securities of Certain Real Estate Companies, Page 3

    3

  • Form S-11 (SEC Form 907) Registration of Securities of Certain Real Estate Companies, Page 4

    4

  • Form S-11 (SEC Form 907) Registration of Securities of Certain Real Estate Companies, Page 5

    5

  • Form S-11 (SEC Form 907) Registration of Securities of Certain Real Estate Companies, Page 6

    6

  • Form S-11 (SEC Form 907) Registration of Securities of Certain Real Estate Companies, Page 7

    7

  • Form S-11 (SEC Form 907) Registration of Securities of Certain Real Estate Companies, Page 8

    8

  • Form S-11 (SEC Form 907) Registration of Securities of Certain Real Estate Companies, Page 9

    9

  • Form S-11 (SEC Form 907) Registration of Securities of Certain Real Estate Companies, Page 10

    10

  • Form S-11 (SEC Form 907) Registration of Securities of Certain Real Estate Companies, Page 11

    11

  • Form S-11 (SEC Form 907) Registration of Securities of Certain Real Estate Companies, Page 12

    12

  • Form S-11 (SEC Form 907) Registration of Securities of Certain Real Estate Companies, Page 13

    13

  • Form S-11 (SEC Form 907) Registration of Securities of Certain Real Estate Companies, Page 14

    14

  • Form S-11 (SEC Form 907) Registration of Securities of Certain Real Estate Companies, Page 1
  • Form S-11 (SEC Form 907) Registration of Securities of Certain Real Estate Companies, Page 2
  • Form S-11 (SEC Form 907) Registration of Securities of Certain Real Estate Companies, Page 3
  • Form S-11 (SEC Form 907) Registration of Securities of Certain Real Estate Companies, Page 4
  • Form S-11 (SEC Form 907) Registration of Securities of Certain Real Estate Companies, Page 5
  • Form S-11 (SEC Form 907) Registration of Securities of Certain Real Estate Companies, Page 6
  • Form S-11 (SEC Form 907) Registration of Securities of Certain Real Estate Companies, Page 7
  • Form S-11 (SEC Form 907) Registration of Securities of Certain Real Estate Companies, Page 8
  • Form S-11 (SEC Form 907) Registration of Securities of Certain Real Estate Companies, Page 9
  • Form S-11 (SEC Form 907) Registration of Securities of Certain Real Estate Companies, Page 10
  • Form S-11 (SEC Form 907) Registration of Securities of Certain Real Estate Companies, Page 11
  • Form S-11 (SEC Form 907) Registration of Securities of Certain Real Estate Companies, Page 12
  • Form S-11 (SEC Form 907) Registration of Securities of Certain Real Estate Companies, Page 13
  • Form S-11 (SEC Form 907) Registration of Securities of Certain Real Estate Companies, Page 14
Prev 1 2 3 4 5 ... 14 Next
ADVERTISEMENT

Related Documents