DNR Form 542-1479 Proposed Test Plan Protocol - Iowa

Notification Icon This version of the form is not currently in use and is provided for reference only. Download this version of DNR Form 542-1479 for the current year.

DNR Form 542-1479 Proposed Test Plan Protocol - Iowa

What Is DNR Form 542-1479?

This is a legal form that was released by the Iowa Department of Natural Resources - a government authority operating within Iowa. As of today, no separate filing guidelines for the form are provided by the issuing department.

FAQ

Q: What is the DNR Form 542-1479?
A: DNR Form 542-1479 is a proposed test plan protocol.

Q: What is the purpose of the DNR Form 542-1479?
A: The purpose of the DNR Form 542-1479 is to outline a proposed test plan protocol.

Q: Who uses the DNR Form 542-1479?
A: The DNR Form 542-1479 is used by individuals and organizations in Iowa.

Q: Is the DNR Form 542-1479 mandatory?
A: The requirement for using the DNR Form 542-1479 may vary, it is best to check with the relevant authorities in Iowa.

ADVERTISEMENT

Form Details:

  • Released on January 1, 2020;
  • The latest edition provided by the Iowa Department of Natural Resources;
  • Easy to use and ready to print;
  • Quick to customize;
  • Compatible with most PDF-viewing applications;
  • Fill out the form in our online filing application.

Download a fillable version of DNR Form 542-1479 by clicking the link below or browse more documents and templates provided by the Iowa Department of Natural Resources.

Download DNR Form 542-1479 Proposed Test Plan Protocol - Iowa

4.7 of 5 (26 votes)
  • DNR Form 542-1479 Proposed Test Plan Protocol - Iowa

    1

  • DNR Form 542-1479 Proposed Test Plan Protocol - Iowa, Page 2

    2

  • DNR Form 542-1479 Proposed Test Plan Protocol - Iowa, Page 3

    3

  • DNR Form 542-1479 Proposed Test Plan Protocol - Iowa, Page 4

    4

  • DNR Form 542-1479 Proposed Test Plan Protocol - Iowa, Page 5

    5

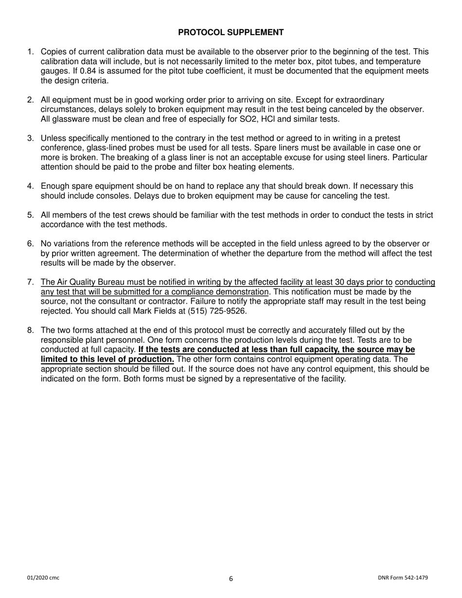
  • DNR Form 542-1479 Proposed Test Plan Protocol - Iowa, Page 6

    6

  • DNR Form 542-1479 Proposed Test Plan Protocol - Iowa, Page 7

    7

  • DNR Form 542-1479 Proposed Test Plan Protocol - Iowa, Page 8

    8

  • DNR Form 542-1479 Proposed Test Plan Protocol - Iowa, Page 9

    9

  • DNR Form 542-1479 Proposed Test Plan Protocol - Iowa, Page 10

    10

  • DNR Form 542-1479 Proposed Test Plan Protocol - Iowa, Page 11

    11

  • DNR Form 542-1479 Proposed Test Plan Protocol - Iowa, Page 1
  • DNR Form 542-1479 Proposed Test Plan Protocol - Iowa, Page 2
  • DNR Form 542-1479 Proposed Test Plan Protocol - Iowa, Page 3
  • DNR Form 542-1479 Proposed Test Plan Protocol - Iowa, Page 4
  • DNR Form 542-1479 Proposed Test Plan Protocol - Iowa, Page 5
  • DNR Form 542-1479 Proposed Test Plan Protocol - Iowa, Page 6
  • DNR Form 542-1479 Proposed Test Plan Protocol - Iowa, Page 7
  • DNR Form 542-1479 Proposed Test Plan Protocol - Iowa, Page 8
  • DNR Form 542-1479 Proposed Test Plan Protocol - Iowa, Page 9
  • DNR Form 542-1479 Proposed Test Plan Protocol - Iowa, Page 10
  • DNR Form 542-1479 Proposed Test Plan Protocol - Iowa, Page 11
Prev 1 2 3 4 5 ... 11 Next
ADVERTISEMENT