Instructions for Form INV-E2, NHDES-A-01-003 Annual VOC Emissions Statement Reporting Form - New Hampshire

Instructions for Form INV-E2, NHDES-A-01-003 Annual VOC Emissions Statement Reporting Form - New Hampshire

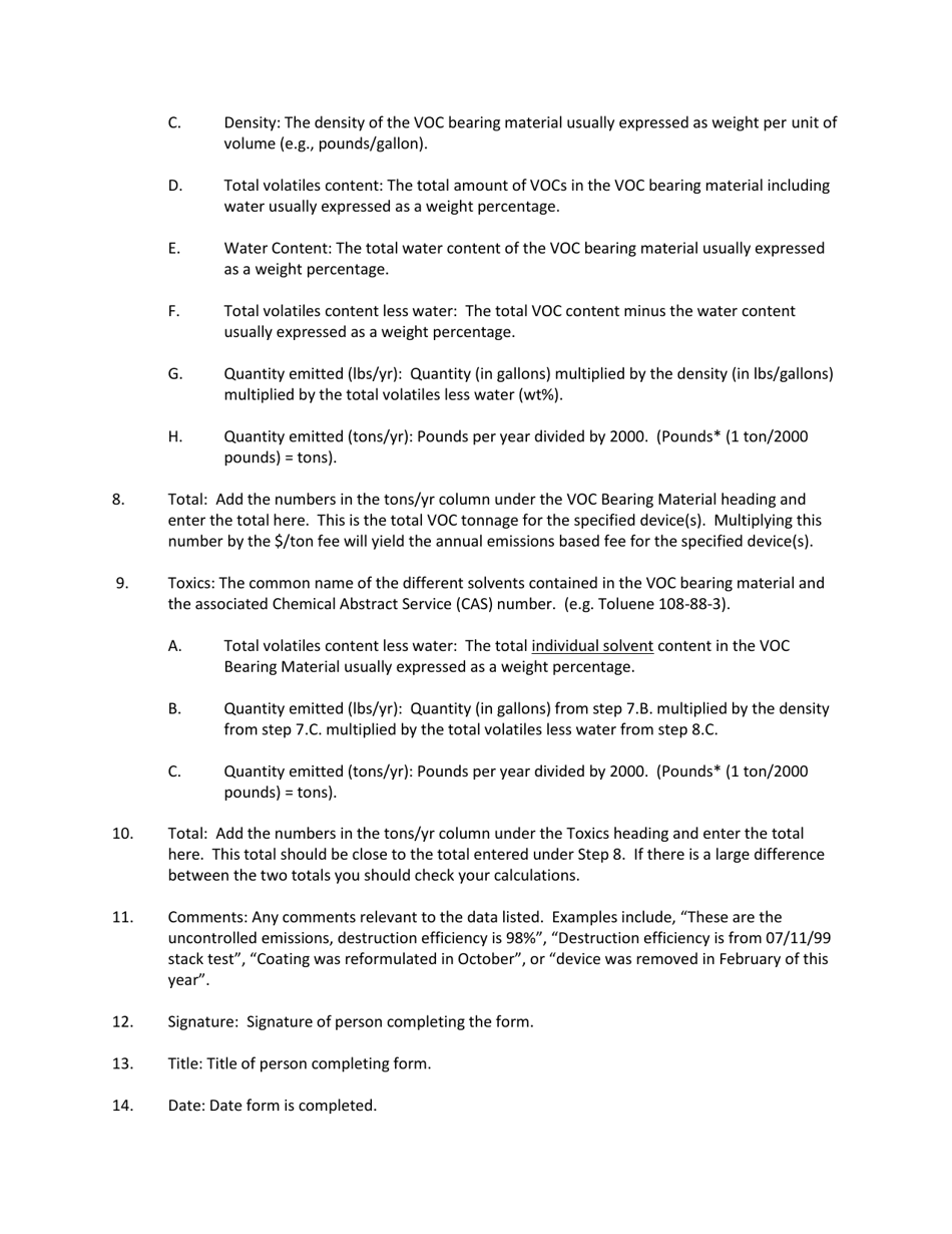
This document contains official instructions for Form INV-E2 , and Form NHDES-A-01-003 . Both forms are released and collected by the New Hampshire Department of Environmental Services. An up-to-date fillable Form INV-E2 is available for download through this link. The latest available Form INV-E2 (NHDES-A-01-003) can be downloaded through this link.

FAQ

Q: What is Form INV-E2?
A: Form INV-E2 is the Annual VOC Emissions Statement Reporting Form.

Q: What is the purpose of Form INV-E2?
A: The purpose of Form INV-E2 is to report annual VOC (Volatile Organic Compound) emissions.

Q: Who needs to fill out Form INV-E2?
A: Any facility in New Hampshire that emits VOCs is required to fill out Form INV-E2.

Q: What is the deadline for submitting Form INV-E2?
A: The deadline for submitting Form INV-E2 is annually on February 1.

Q: Are there any fees associated with submitting Form INV-E2?
A: No, there are no fees associated with submitting Form INV-E2.

Q: What information do I need to provide on Form INV-E2?
A: You need to provide information about your facility, such as its name, address, and activities that emit VOCs.

Q: How do I submit Form INV-E2?
A: Form INV-E2 can be submitted electronically or by mail to the NHDES.

Q: Are there any penalties for not submitting Form INV-E2?
A: Failure to submit Form INV-E2 can result in penalties, including fines and legal actions.

Q: Can I request an extension for filing Form INV-E2?
A: Yes, you can request an extension for filing Form INV-E2 by contacting the NHDES.

ADVERTISEMENT

Instruction Details:

  • This 2-page document is available for download in PDF;
  • Actual and applicable for the current year;
  • Complete, printable, and free.

Download your copy of the instructions by clicking the link below or browse hundreds of other forms in our library of forms released by the New Hampshire Department of Environmental Services.

Download Instructions for Form INV-E2, NHDES-A-01-003 Annual VOC Emissions Statement Reporting Form - New Hampshire

4.8 of 5 (22 votes)
  • Instructions for Form INV-E2, NHDES-A-01-003 Annual VOC Emissions Statement Reporting Form - New Hampshire

    1

  • Instructions for Form INV-E2, NHDES-A-01-003 Annual VOC Emissions Statement Reporting Form - New Hampshire, Page 2

    2

  • Instructions for Form INV-E2, NHDES-A-01-003 Annual VOC Emissions Statement Reporting Form - New Hampshire, Page 1
  • Instructions for Form INV-E2, NHDES-A-01-003 Annual VOC Emissions Statement Reporting Form - New Hampshire, Page 2
Prev 1 2 Next
ADVERTISEMENT