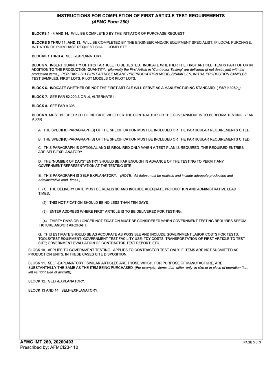
AFMC IMT Form 260 First Article Requirements

Notification Icon This version of the form is not currently in use and is provided for reference only. Download this version of AFMC IMT Form 260 for the current year.

AFMC IMT Form 260 First Article Requirements

What Is AFMC IMT Form 260?

This is a legal form that was released by the U.S. Air Force Materiel Command IMT (Information Management Tool) on April 3, 2020 and used country-wide. As of today, no separate filing guidelines for the form are provided by the issuing department.

FAQ

Q: What is AFMC IMT Form 260?
A: AFMC IMT Form 260 is a document used by the Air Force Materiel Command to collect information about first article requirements.

Q: What are first article requirements?
A: First article requirements refer to the specific criteria that a product or system must meet in order to be accepted by the military.

Q: Why are first article requirements important?
A: First article requirements ensure that the products or systems being procured by the military meet the necessary quality and performance standards.

Q: Who uses AFMC IMT Form 260?
A: AFMC IMT Form 260 is used by the Air Force Materiel Command.

Q: How is AFMC IMT Form 260 used?
A: AFMC IMT Form 260 is used to collect information about first article requirements from suppliers or contractors.

Q: Are there any instructions for completing AFMC IMT Form 260?
A: Yes, instructions for completing AFMC IMT Form 260 can be found on the form itself or in accompanying documentation.

Q: Is AFMC IMT Form 260 only for US suppliers?
A: AFMC IMT Form 260 can be used by both US and non-US suppliers or contractors.

Q: What happens after submitting AFMC IMT Form 260?
A: After submitting AFMC IMT Form 260, it will be reviewed by the Air Force Materiel Command to determine if the product or system meets the first article requirements.

Q: Are there any fees associated with AFMC IMT Form 260?
A: There may be fees associated with the review and evaluation process of AFMC IMT Form 260, depending on the specific circumstances.

Q: Who can I contact for more information about AFMC IMT Form 260?
A: For more information about AFMC IMT Form 260, you can contact the Air Force Materiel Command directly.

Q: Can AFMC IMT Form 260 be used for non-military purposes?
A: AFMC IMT Form 260 is specifically designed for military procurement and may not be suitable for non-military purposes.

Q: Is AFMC IMT Form 260 mandatory?
A: The requirement to use AFMC IMT Form 260 may vary depending on the specific procurement process and regulations.

Q: Can AFMC IMT Form 260 be customized for specific contracts?
A: AFMC IMT Form 260 can be customized or modified as necessary to meet the requirements of specific contracts or procurement processes.

ADVERTISEMENT

Form Details:

  • Released on April 3, 2020;
  • The latest available edition released by the U.S. Air Force Materiel Command IMT (Information Management Tool);
  • Easy to use and ready to print;
  • Yours to fill out and keep for your records;
  • Compatible with most PDF-viewing applications;
  • Fill out the form in our online filing application.

Download a fillable version of AFMC IMT Form 260 by clicking the link below or browse more documents and templates provided by the U.S. Air Force Materiel Command IMT (Information Management Tool).

Download AFMC IMT Form 260 First Article Requirements

4.6 of 5 (7 votes)
  • AFMC IMT Form 260 First Article Requirements

    1

  • AFMC IMT Form 260 First Article Requirements, Page 2

    2

  • AFMC IMT Form 260 First Article Requirements, Page 3

    3

  • AFMC IMT Form 260 First Article Requirements, Page 1
  • AFMC IMT Form 260 First Article Requirements, Page 2
  • AFMC IMT Form 260 First Article Requirements, Page 3
Prev 1 2 3 Next
ADVERTISEMENT