Form 650 Statement of Transparency and Sustainability Standards - Rhode Island

Notification Icon This version of the form is not currently in use and is provided for reference only. Download this version of Form 650 for the current year.

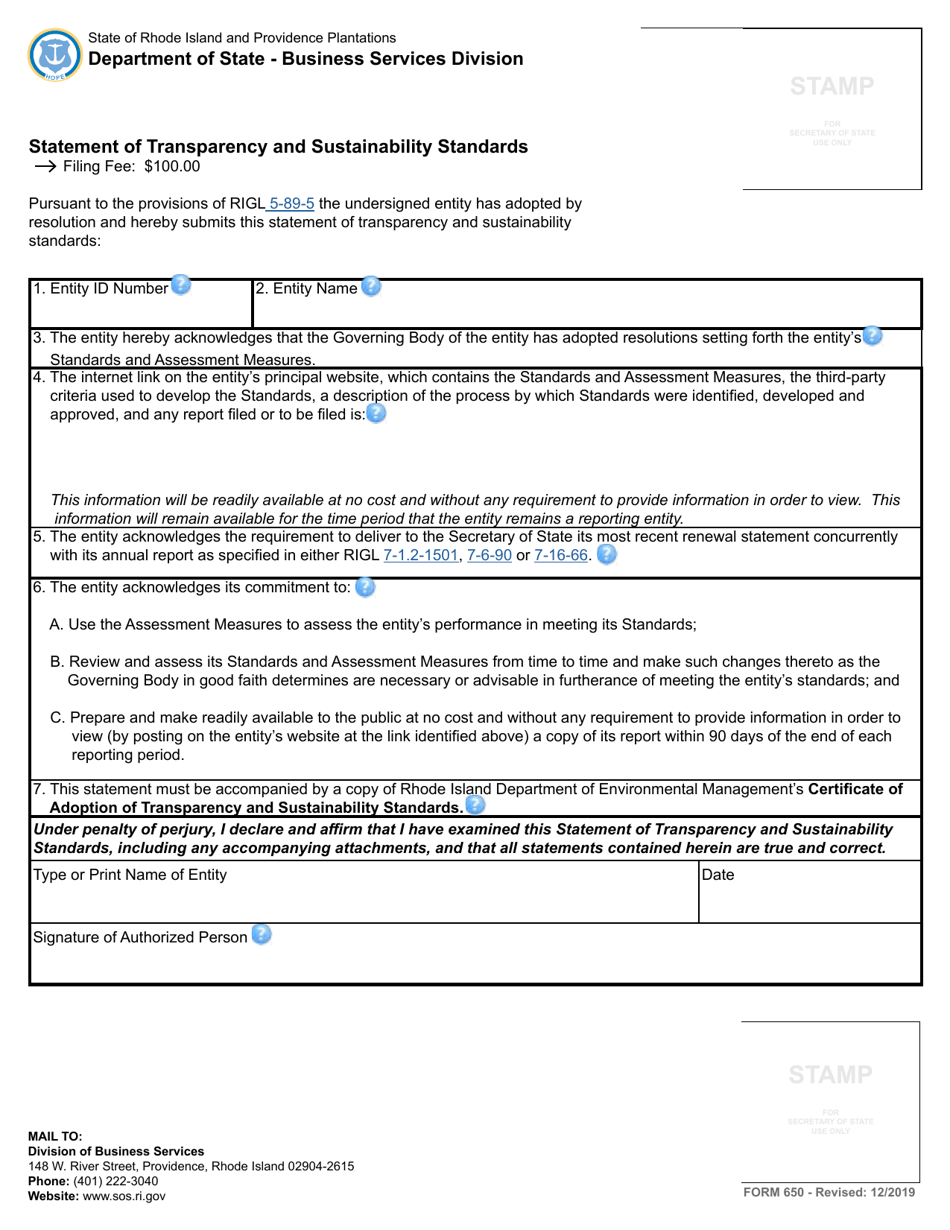
Form 650 Statement of Transparency and Sustainability Standards - Rhode Island

What Is Form 650?

This is a legal form that was released by the Rhode Island Secretary of State - a government authority operating within Rhode Island. As of today, no separate filing guidelines for the form are provided by the issuing department.

FAQ

Q: What is Form 650?
A: Form 650 is the Statement of Transparency and Sustainability Standards.

Q: What does Form 650 require?
A: Form 650 requires entities to disclose their transparency and sustainability standards.

Q: Who needs to file Form 650?
A: Entities in Rhode Island that have transparency and sustainability standards must file Form 650.

Q: What information is required on Form 650?
A: Form 650 requires entities to provide details about their transparency and sustainability standards.

ADVERTISEMENT

Form Details:

  • Released on December 1, 2019;
  • The latest edition provided by the Rhode Island Secretary of State;
  • Easy to use and ready to print;
  • Quick to customize;
  • Compatible with most PDF-viewing applications;
  • Fill out the form in our online filing application.

Download a fillable version of Form 650 by clicking the link below or browse more documents and templates provided by the Rhode Island Secretary of State.

Download Form 650 Statement of Transparency and Sustainability Standards - Rhode Island

4.6 of 5 (17 votes)
  • Form 650 Statement of Transparency and Sustainability Standards - Rhode Island

    1

  • Form 650 Statement of Transparency and Sustainability Standards - Rhode Island, Page 2

    2

  • Form 650 Statement of Transparency and Sustainability Standards - Rhode Island, Page 1
  • Form 650 Statement of Transparency and Sustainability Standards - Rhode Island, Page 2
Prev 1 2 Next
ADVERTISEMENT