Form FL Divorce241 Final Divorce Order (Dissolution Decree) / Legal Separation Order (Decree) / Invalid Marriage Order (Annulment Decree) / Valid Marriage Order (Decree) - Washington

Notification Icon This version of the form is not currently in use and is provided for reference only. Download this version of Form FL Divorce241 for the current year.

Form FL Divorce241 Final Divorce Order (Dissolution Decree) / Legal Separation Order (Decree) / Invalid Marriage Order (Annulment Decree) / Valid Marriage Order (Decree) - Washington

What Is Form FL Divorce241?

This is a legal form that was released by the Washington Superior Court - a government authority operating within Washington. As of today, no separate filing guidelines for the form are provided by the issuing department.

FAQ

Q: What is Form FL Divorce 241?
A: Form FL Divorce 241 is the final divorce order, dissolution decree, legal separation order, annulment decree, or valid marriage order in Washington.

Q: What does the form finalize?
A: The form finalizes the divorce, dissolution, legal separation, annulment, or validates a marriage in Washington.

Q: Is this form specific to Washington only?
A: Yes, this form is specific to Washington.

Q: What information is included in this form?
A: This form includes information regarding the divorce, dissolution, legal separation, annulment, or validation of marriage, as well as details about child support, custody, and division of assets.

ADVERTISEMENT

Form Details:

  • Released on March 1, 2020;
  • The latest edition provided by the Washington Superior Court;
  • Easy to use and ready to print;
  • Available in Korean;
  • Quick to customize;
  • Compatible with most PDF-viewing applications;
  • Fill out the form in our online filing application.

Download a printable version of Form FL Divorce241 by clicking the link below or browse more documents and templates provided by the Washington Superior Court.

Download Form FL Divorce241 Final Divorce Order (Dissolution Decree) / Legal Separation Order (Decree) / Invalid Marriage Order (Annulment Decree) / Valid Marriage Order (Decree) - Washington

4.7 of 5 (7 votes)
  • Form FL Divorce241 Final Divorce Order (Dissolution Decree)/Legal Separation Order (Decree)/Invalid Marriage Order (Annulment Decree)/Valid Marriage Order (Decree) - Washington

    1

  • Form FL Divorce241 Final Divorce Order (Dissolution Decree)/Legal Separation Order (Decree)/Invalid Marriage Order (Annulment Decree)/Valid Marriage Order (Decree) - Washington, Page 2

    2

  • Form FL Divorce241 Final Divorce Order (Dissolution Decree)/Legal Separation Order (Decree)/Invalid Marriage Order (Annulment Decree)/Valid Marriage Order (Decree) - Washington, Page 3

    3

  • Form FL Divorce241 Final Divorce Order (Dissolution Decree)/Legal Separation Order (Decree)/Invalid Marriage Order (Annulment Decree)/Valid Marriage Order (Decree) - Washington, Page 4

    4

  • Form FL Divorce241 Final Divorce Order (Dissolution Decree)/Legal Separation Order (Decree)/Invalid Marriage Order (Annulment Decree)/Valid Marriage Order (Decree) - Washington, Page 5

    5

  • Form FL Divorce241 Final Divorce Order (Dissolution Decree)/Legal Separation Order (Decree)/Invalid Marriage Order (Annulment Decree)/Valid Marriage Order (Decree) - Washington, Page 6

    6

  • Form FL Divorce241 Final Divorce Order (Dissolution Decree)/Legal Separation Order (Decree)/Invalid Marriage Order (Annulment Decree)/Valid Marriage Order (Decree) - Washington, Page 7

    7

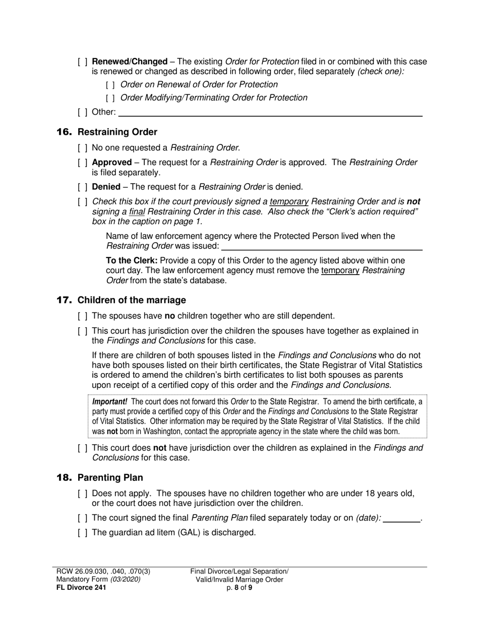
  • Form FL Divorce241 Final Divorce Order (Dissolution Decree)/Legal Separation Order (Decree)/Invalid Marriage Order (Annulment Decree)/Valid Marriage Order (Decree) - Washington, Page 8

    8

  • Form FL Divorce241 Final Divorce Order (Dissolution Decree)/Legal Separation Order (Decree)/Invalid Marriage Order (Annulment Decree)/Valid Marriage Order (Decree) - Washington, Page 9

    9

  • Form FL Divorce241 Final Divorce Order (Dissolution Decree) / Legal Separation Order (Decree) / Invalid Marriage Order (Annulment Decree) / Valid Marriage Order (Decree) - Washington, Page 1
  • Form FL Divorce241 Final Divorce Order (Dissolution Decree) / Legal Separation Order (Decree) / Invalid Marriage Order (Annulment Decree) / Valid Marriage Order (Decree) - Washington, Page 2
  • Form FL Divorce241 Final Divorce Order (Dissolution Decree) / Legal Separation Order (Decree) / Invalid Marriage Order (Annulment Decree) / Valid Marriage Order (Decree) - Washington, Page 3
  • Form FL Divorce241 Final Divorce Order (Dissolution Decree) / Legal Separation Order (Decree) / Invalid Marriage Order (Annulment Decree) / Valid Marriage Order (Decree) - Washington, Page 4
  • Form FL Divorce241 Final Divorce Order (Dissolution Decree) / Legal Separation Order (Decree) / Invalid Marriage Order (Annulment Decree) / Valid Marriage Order (Decree) - Washington, Page 5
  • Form FL Divorce241 Final Divorce Order (Dissolution Decree) / Legal Separation Order (Decree) / Invalid Marriage Order (Annulment Decree) / Valid Marriage Order (Decree) - Washington, Page 6
  • Form FL Divorce241 Final Divorce Order (Dissolution Decree) / Legal Separation Order (Decree) / Invalid Marriage Order (Annulment Decree) / Valid Marriage Order (Decree) - Washington, Page 7
  • Form FL Divorce241 Final Divorce Order (Dissolution Decree) / Legal Separation Order (Decree) / Invalid Marriage Order (Annulment Decree) / Valid Marriage Order (Decree) - Washington, Page 8
  • Form FL Divorce241 Final Divorce Order (Dissolution Decree) / Legal Separation Order (Decree) / Invalid Marriage Order (Annulment Decree) / Valid Marriage Order (Decree) - Washington, Page 9
Prev 1 2 3 4 5 ... 9 Next
ADVERTISEMENT

Related Documents