Form MP240 Order for Competency Restoration Treatment (Felony) - Washington

Notification Icon This version of the form is not currently in use and is provided for reference only. Download this version of Form MP240 for the current year.

Form MP240 Order for Competency Restoration Treatment (Felony) - Washington

What Is Form MP240?

This is a legal form that was released by the Washington Superior Court - a government authority operating within Washington. As of today, no separate filing guidelines for the form are provided by the issuing department.

FAQ

Q: What is a Form MP240 Order?
A: A Form MP240 Order is a legal document.

Q: What is Competency Restoration Treatment?
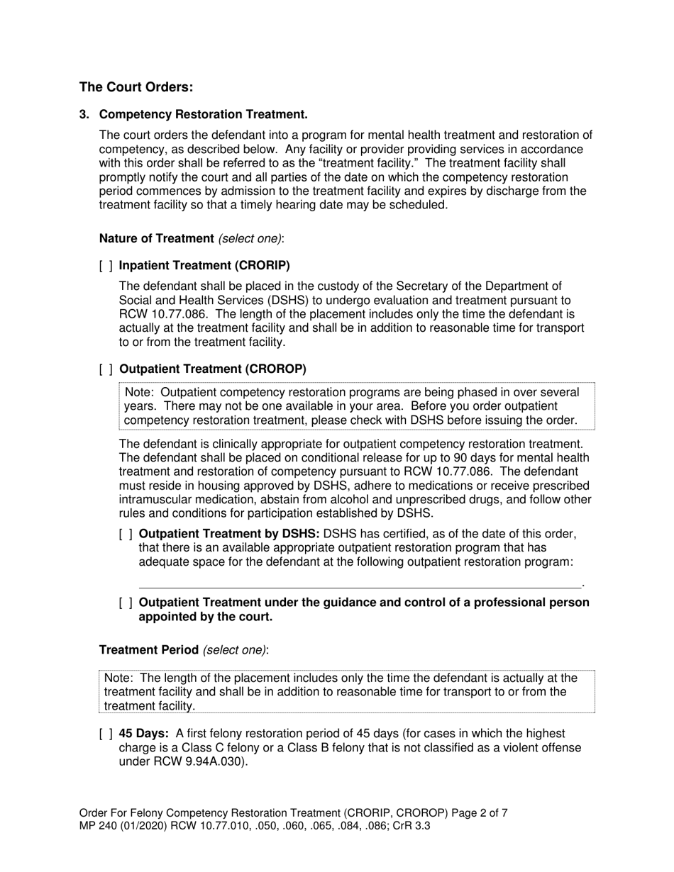
A: Competency Restoration Treatment is a type of treatment for individuals who have been deemed incompetent to stand trial for a felony offense in Washington.

Q: What is the purpose of the Form MP240 Order?
A: The purpose of the Form MP240 Order is to request and authorize Competency Restoration Treatment.

Q: Who can use the Form MP240 Order?
A: The Form MP240 Order can be used by individuals who have been charged with a felony offense in Washington and have been found incompetent to stand trial.

Q: How can I obtain a Form MP240 Order?
A: You can obtain a Form MP240 Order from the appropriate court or from an attorney.

Q: Is Competency Restoration Treatment mandatory?
A: Competency Restoration Treatment is not mandatory, but it may be required for individuals who have been found incompetent to stand trial.

Q: What happens after Competency Restoration Treatment?
A: After Competency Restoration Treatment, the individual's competency will be reevaluated to determine if they are now able to stand trial.

Q: Can the Form MP240 Order be contested?
A: Yes, the Form MP240 Order can be contested through legal means.

Q: Do I need an attorney to complete the Form MP240 Order?
A: It is recommended to have an attorney assist you in completing the Form MP240 Order, but it is not mandatory.

ADVERTISEMENT

Form Details:

  • Released on January 1, 2020;
  • The latest edition provided by the Washington Superior Court;
  • Easy to use and ready to print;
  • Quick to customize;
  • Compatible with most PDF-viewing applications;
  • Fill out the form in our online filing application.

Download a printable version of Form MP240 by clicking the link below or browse more documents and templates provided by the Washington Superior Court.

Download Form MP240 Order for Competency Restoration Treatment (Felony) - Washington

4.8 of 5 (28 votes)
  • Form MP240 Order for Competency Restoration Treatment (Felony) - Washington

    1

  • Form MP240 Order for Competency Restoration Treatment (Felony) - Washington, Page 2

    2

  • Form MP240 Order for Competency Restoration Treatment (Felony) - Washington, Page 3

    3

  • Form MP240 Order for Competency Restoration Treatment (Felony) - Washington, Page 4

    4

  • Form MP240 Order for Competency Restoration Treatment (Felony) - Washington, Page 5

    5

  • Form MP240 Order for Competency Restoration Treatment (Felony) - Washington, Page 6

    6

  • Form MP240 Order for Competency Restoration Treatment (Felony) - Washington, Page 7

    7

  • Form MP240 Order for Competency Restoration Treatment (Felony) - Washington, Page 1
  • Form MP240 Order for Competency Restoration Treatment (Felony) - Washington, Page 2
  • Form MP240 Order for Competency Restoration Treatment (Felony) - Washington, Page 3
  • Form MP240 Order for Competency Restoration Treatment (Felony) - Washington, Page 4
  • Form MP240 Order for Competency Restoration Treatment (Felony) - Washington, Page 5
  • Form MP240 Order for Competency Restoration Treatment (Felony) - Washington, Page 6
  • Form MP240 Order for Competency Restoration Treatment (Felony) - Washington, Page 7
Prev 1 2 3 4 5 ... 7 Next
ADVERTISEMENT