Form 2020 Notification of Readiness for Initial Survey - Texas

Notification Icon This version of the form is not currently in use and is provided for reference only. Download this version of Form 2020 for the current year.

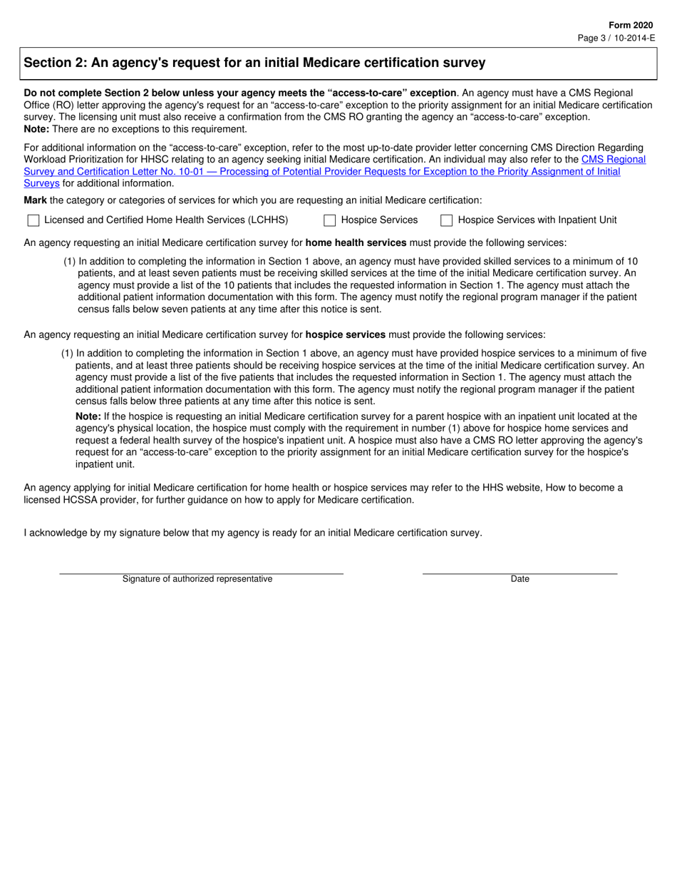
Form 2020 Notification of Readiness for Initial Survey - Texas

What Is Form 2020?

This is a legal form that was released by the Texas Health and Human Services - a government authority operating within Texas. As of today, no separate filing guidelines for the form are provided by the issuing department.

FAQ

Q: What is the Form 2020 Notification of Readiness for Initial Survey?
A: Form 2020 is a document used in Texas to notify the regulatory authorities of a facility's readiness for an initial survey.

Q: Who needs to fill out the Form 2020?
A: Facilities in Texas that are preparing for an initial survey need to fill out the Form 2020.

Q: What is the purpose of the Form 2020?
A: The Form 2020 is used to inform the regulatory authorities that a facility is ready to undergo an initial survey.

Q: Is there a deadline for submitting the Form 2020?
A: The specific deadline for submitting the Form 2020 may vary. It is best to check with the regulatory authorities in Texas for the deadline.

ADVERTISEMENT

Form Details:

  • Released on October 1, 2014;
  • The latest edition provided by the Texas Health and Human Services;
  • Easy to use and ready to print;
  • Quick to customize;
  • Compatible with most PDF-viewing applications;
  • Fill out the form in our online filing application.

Download a fillable version of Form 2020 by clicking the link below or browse more documents and templates provided by the Texas Health and Human Services.

Download Form 2020 Notification of Readiness for Initial Survey - Texas

4.6 of 5 (16 votes)
  • Form 2020 Notification of Readiness for Initial Survey - Texas

    1

  • Form 2020 Notification of Readiness for Initial Survey - Texas, Page 2

    2

  • Form 2020 Notification of Readiness for Initial Survey - Texas, Page 3

    3

  • Form 2020 Notification of Readiness for Initial Survey - Texas, Page 1
  • Form 2020 Notification of Readiness for Initial Survey - Texas, Page 2
  • Form 2020 Notification of Readiness for Initial Survey - Texas, Page 3
Prev 1 2 3 Next
ADVERTISEMENT