Form 8584-CDS Comprehensive Nursing Assessment and Plan of Care - Hcs Program - Texas

Form 8584-CDS Comprehensive Nursing Assessment and Plan of Care - Hcs Program - Texas

What Is Form 8584-CDS?

This is a legal form that was released by the Texas Health and Human Services - a government authority operating within Texas. As of today, no separate filing guidelines for the form are provided by the issuing department.

FAQ

Q: What is Form 8584-CDS?
A: Form 8584-CDS is a Comprehensive Nursing Assessment and Plan of Care.

Q: What is Hcs Program?
A: Hcs Program stands for Home and Community-based Services Program.

Q: What is the purpose of Form 8584-CDS?
A: The purpose of Form 8584-CDS is to gather comprehensive information about a patient's nursing assessment and create an individualized plan of care.

Q: Who uses Form 8584-CDS?
A: Form 8584-CDS is used by healthcare professionals, specifically those providing home and community-based services in Texas.

Q: What does Form 8584-CDS include?
A: Form 8584-CDS includes sections for patient information, nursing assessment, and the development of a plan of care.

Q: Is Form 8584-CDS specific to a certain patient population?
A: Form 8584-CDS is specific to patients receiving services through the Hcs Program in Texas.

Q: Is Form 8584-CDS mandatory?
A: Yes, for patients receiving services through the Hcs Program in Texas, completion of Form 8584-CDS is mandatory.

ADVERTISEMENT

Form Details:

  • Released on August 1, 2014;
  • The latest edition provided by the Texas Health and Human Services;
  • Easy to use and ready to print;
  • Quick to customize;
  • Compatible with most PDF-viewing applications;
  • Fill out the form in our online filing application.

Download a fillable version of Form 8584-CDS by clicking the link below or browse more documents and templates provided by the Texas Health and Human Services.

Download Form 8584-CDS Comprehensive Nursing Assessment and Plan of Care - Hcs Program - Texas

4.5 of 5 (10 votes)
  • Form 8584-CDS Comprehensive Nursing Assessment and Plan of Care - Hcs Program - Texas

    1

  • Form 8584-CDS Comprehensive Nursing Assessment and Plan of Care - Hcs Program - Texas, Page 2

    2

  • Form 8584-CDS Comprehensive Nursing Assessment and Plan of Care - Hcs Program - Texas, Page 3

    3

  • Form 8584-CDS Comprehensive Nursing Assessment and Plan of Care - Hcs Program - Texas, Page 4

    4

  • Form 8584-CDS Comprehensive Nursing Assessment and Plan of Care - Hcs Program - Texas, Page 5

    5

  • Form 8584-CDS Comprehensive Nursing Assessment and Plan of Care - Hcs Program - Texas, Page 6

    6

  • Form 8584-CDS Comprehensive Nursing Assessment and Plan of Care - Hcs Program - Texas, Page 7

    7

  • Form 8584-CDS Comprehensive Nursing Assessment and Plan of Care - Hcs Program - Texas, Page 8

    8

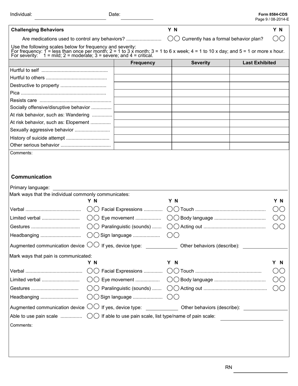
  • Form 8584-CDS Comprehensive Nursing Assessment and Plan of Care - Hcs Program - Texas, Page 9

    9

  • Form 8584-CDS Comprehensive Nursing Assessment and Plan of Care - Hcs Program - Texas, Page 10

    10

  • Form 8584-CDS Comprehensive Nursing Assessment and Plan of Care - Hcs Program - Texas, Page 11

    11

  • Form 8584-CDS Comprehensive Nursing Assessment and Plan of Care - Hcs Program - Texas, Page 12

    12

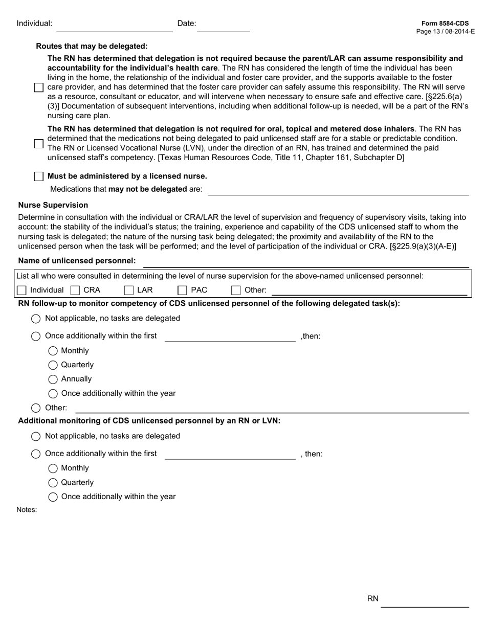
  • Form 8584-CDS Comprehensive Nursing Assessment and Plan of Care - Hcs Program - Texas, Page 13

    13

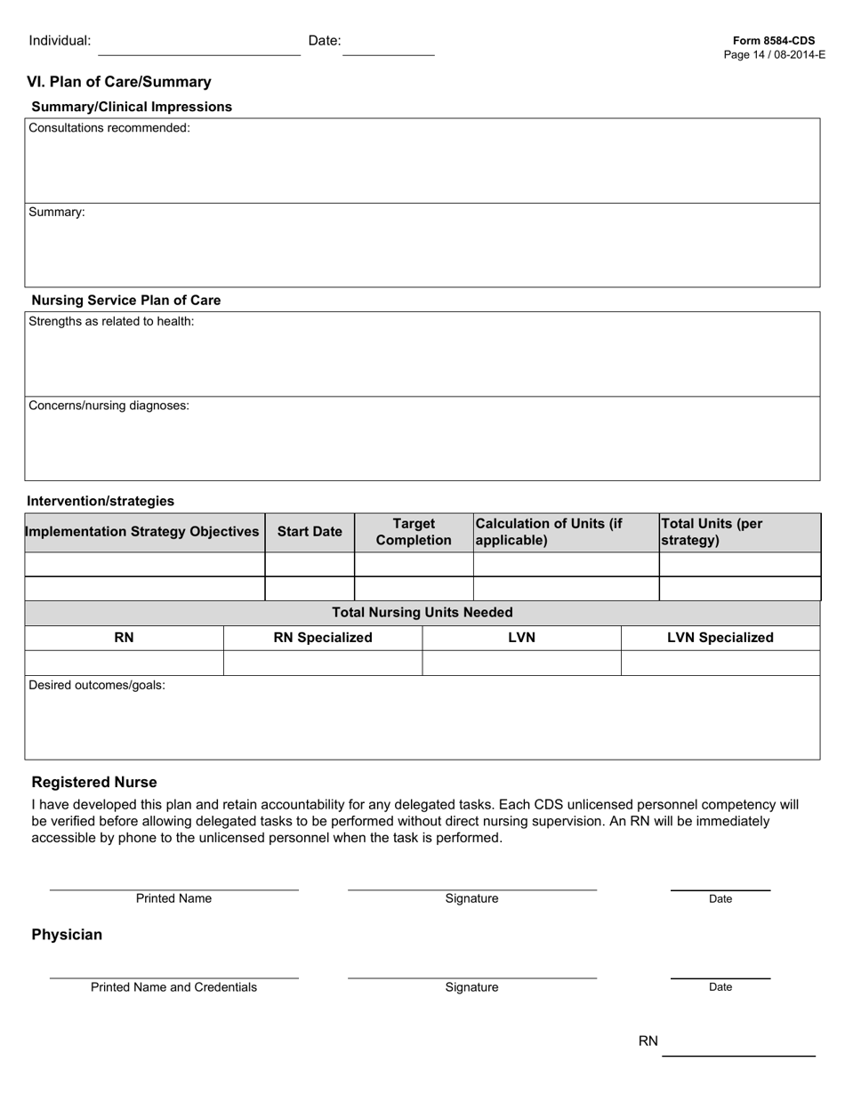
  • Form 8584-CDS Comprehensive Nursing Assessment and Plan of Care - Hcs Program - Texas, Page 14

    14

  • Form 8584-CDS Comprehensive Nursing Assessment and Plan of Care - Hcs Program - Texas, Page 1
  • Form 8584-CDS Comprehensive Nursing Assessment and Plan of Care - Hcs Program - Texas, Page 2
  • Form 8584-CDS Comprehensive Nursing Assessment and Plan of Care - Hcs Program - Texas, Page 3
  • Form 8584-CDS Comprehensive Nursing Assessment and Plan of Care - Hcs Program - Texas, Page 4
  • Form 8584-CDS Comprehensive Nursing Assessment and Plan of Care - Hcs Program - Texas, Page 5
  • Form 8584-CDS Comprehensive Nursing Assessment and Plan of Care - Hcs Program - Texas, Page 6
  • Form 8584-CDS Comprehensive Nursing Assessment and Plan of Care - Hcs Program - Texas, Page 7
  • Form 8584-CDS Comprehensive Nursing Assessment and Plan of Care - Hcs Program - Texas, Page 8
  • Form 8584-CDS Comprehensive Nursing Assessment and Plan of Care - Hcs Program - Texas, Page 9
  • Form 8584-CDS Comprehensive Nursing Assessment and Plan of Care - Hcs Program - Texas, Page 10
  • Form 8584-CDS Comprehensive Nursing Assessment and Plan of Care - Hcs Program - Texas, Page 11
  • Form 8584-CDS Comprehensive Nursing Assessment and Plan of Care - Hcs Program - Texas, Page 12
  • Form 8584-CDS Comprehensive Nursing Assessment and Plan of Care - Hcs Program - Texas, Page 13
  • Form 8584-CDS Comprehensive Nursing Assessment and Plan of Care - Hcs Program - Texas, Page 14
Prev 1 2 3 4 5 ... 14 Next
ADVERTISEMENT