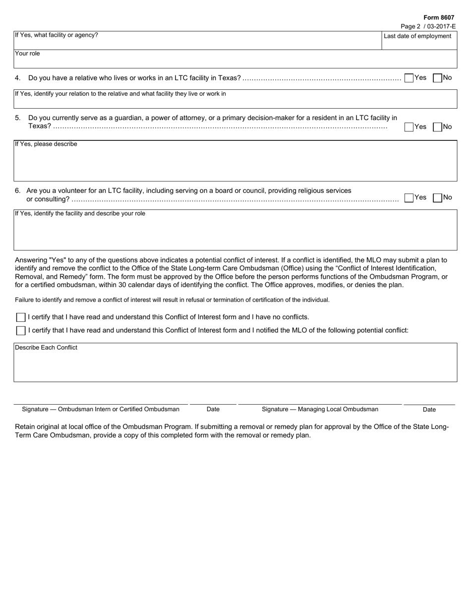
Form 8607 Conflict of Interest Screening of a Representative of the Office - Texas

Notification Icon This version of the form is not currently in use and is provided for reference only. Download this version of Form 8607 for the current year.

Form 8607 Conflict of Interest Screening of a Representative of the Office - Texas

What Is Form 8607?

This is a legal form that was released by the Texas Health and Human Services - a government authority operating within Texas. As of today, no separate filing guidelines for the form are provided by the issuing department.

FAQ

Q: What is Form 8607?
A: Form 8607 is a Conflict of Interest Screening form for a Representative of the Office in Texas.

Q: Who needs to complete Form 8607?
A: A Representative of the Office in Texas needs to complete Form 8607.

Q: What is the purpose of Form 8607?
A: The purpose of Form 8607 is to screen for potential conflicts of interest for representatives of the office in Texas.

Q: Is Form 8607 specific to Texas?
A: Yes, Form 8607 is specific to representatives of the office in Texas.

ADVERTISEMENT

Form Details:

  • Released on March 1, 2017;
  • The latest edition provided by the Texas Health and Human Services;
  • Easy to use and ready to print;
  • Quick to customize;
  • Compatible with most PDF-viewing applications;
  • Fill out the form in our online filing application.

Download a fillable version of Form 8607 by clicking the link below or browse more documents and templates provided by the Texas Health and Human Services.

Download Form 8607 Conflict of Interest Screening of a Representative of the Office - Texas

4.3 of 5 (14 votes)
  • Form 8607 Conflict of Interest Screening of a Representative of the Office - Texas

    1

  • Form 8607 Conflict of Interest Screening of a Representative of the Office - Texas, Page 2

    2

  • Form 8607 Conflict of Interest Screening of a Representative of the Office - Texas, Page 1
  • Form 8607 Conflict of Interest Screening of a Representative of the Office - Texas, Page 2
Prev 1 2 Next
ADVERTISEMENT