Forme IMM5589 Liste De Verification DES Documents - Conjoint De Fait (Incluant Les Enfants a Charge) - Canada (French)

Notification Icon To edit this document, please download and fill it out with Adobe Reader.

Forme IMM5589 Liste De Verification DES Documents - Conjoint De Fait (Incluant Les Enfants a Charge) - Canada (French)

Forme IMM5589 is a checklist of required documents for common law partners (including dependent children) applying for Canadian immigration. It helps ensure that all necessary documents are included in the application.

The Form IMM5589 Liste De Verification DES Documents - Conjoint De Fait (Incluant Les Enfants a Charge) is filed by individuals who are applying for sponsorship of their common-law partner (including dependent children) to Canada.

FAQ

Q: Qu'est-ce que le formulaire IMM5589?
A: Le formulaire IMM5589 est une liste de vérification des documents pour les conjoints de fait (incluant les enfants à charge) au Canada.

Q: Qui a besoin du formulaire IMM5589?
A: Les conjoints de fait (incluant les enfants à charge) qui souhaitent immigrer au Canada ont besoin du formulaire IMM5589.

Q: Quels documents sont nécessaires pour le formulaire IMM5589?
A: Le formulaire IMM5589 exige une variété de documents, y compris des preuves d'identité, de résidence commune, de soutien financier et de relation conjugale.

Q: Où puis-je trouver le formulaire IMM5589?
A: Le formulaire IMM5589 est disponible sur le site Web d'Immigration, Réfugiés et Citoyenneté Canada (IRCC).

Q: Est-ce que le formulaire IMM5589 est obligatoire?
A: Oui, le formulaire IMM5589 est obligatoire pour les conjoints de fait (incluant les enfants à charge) qui souhaitent immigrer au Canada.

Q: Quelles sont les étapes à suivre pour remplir le formulaire IMM5589?
A: Les étapes pour remplir le formulaire IMM5589 incluent la collecte des documents requis, la vérification de l'admissibilité et le soumission du formulaire complété.

Q: Combien de temps faut-il pour traiter le formulaire IMM5589?
A: Le temps de traitement du formulaire IMM5589 peut varier, il est recommandé de consulter le site Web d'IRCC pour obtenir les informations les plus à jour.

Q: Quelles sont les conséquences de ne pas fournir tous les documents requis?
A: Ne pas fournir tous les documents requis peut entraîner le rejet de la demande d'immigration au Canada.

Q: Puis-je demander de l'aide pour remplir le formulaire IMM5589?
A: Oui, vous pouvez demander de l'aide pour remplir le formulaire IMM5589 en vous adressant à un avocat en immigration ou à un consultant en immigration autorisé.

Q: Dois-je inclure mes enfants à charge dans ma demande d'immigration?
A: Oui, vous devez inclure vos enfants à charge dans votre demande d'immigration en utilisant le formulaire IMM5589.

ADVERTISEMENT

Download Forme IMM5589 Liste De Verification DES Documents - Conjoint De Fait (Incluant Les Enfants a Charge) - Canada (French)

4.6 of 5 (24 votes)
  • Forme IMM5589 Liste De Verification DES Documents - Conjoint De Fait (Incluant Les Enfants a Charge) - Canada (French)

    1

  • Forme IMM5589 Liste De Verification DES Documents - Conjoint De Fait (Incluant Les Enfants a Charge) - Canada (French), Page 2

    2

  • Forme IMM5589 Liste De Verification DES Documents - Conjoint De Fait (Incluant Les Enfants a Charge) - Canada (French), Page 3

    3

  • Forme IMM5589 Liste De Verification DES Documents - Conjoint De Fait (Incluant Les Enfants a Charge) - Canada (French), Page 4

    4

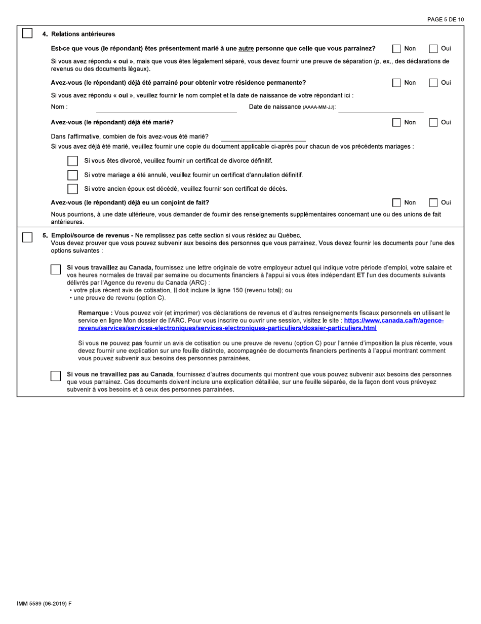
  • Forme IMM5589 Liste De Verification DES Documents - Conjoint De Fait (Incluant Les Enfants a Charge) - Canada (French), Page 5

    5

  • Forme IMM5589 Liste De Verification DES Documents - Conjoint De Fait (Incluant Les Enfants a Charge) - Canada (French), Page 6

    6

  • Forme IMM5589 Liste De Verification DES Documents - Conjoint De Fait (Incluant Les Enfants a Charge) - Canada (French), Page 7

    7

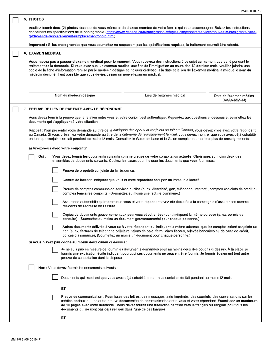
  • Forme IMM5589 Liste De Verification DES Documents - Conjoint De Fait (Incluant Les Enfants a Charge) - Canada (French), Page 8

    8

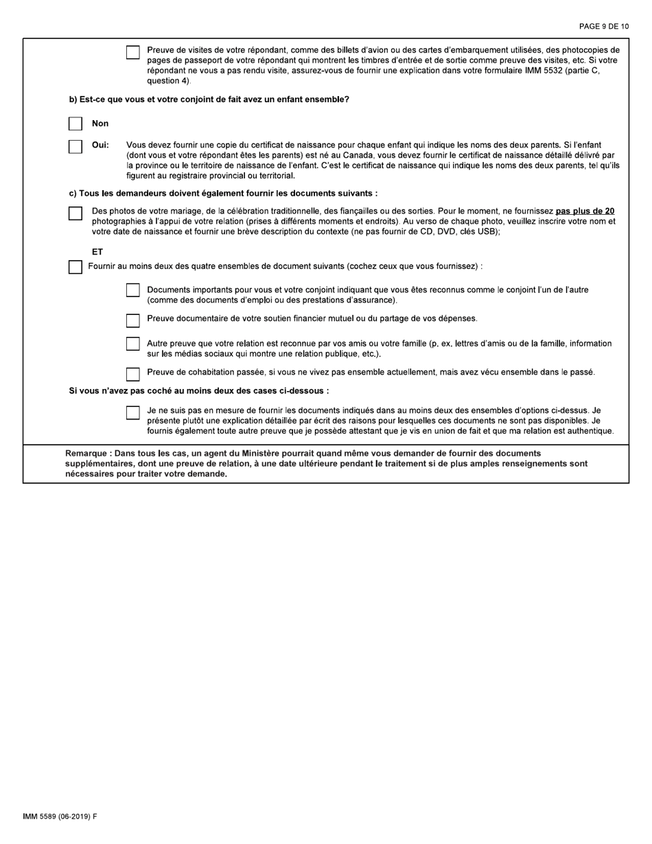
  • Forme IMM5589 Liste De Verification DES Documents - Conjoint De Fait (Incluant Les Enfants a Charge) - Canada (French), Page 9

    9

  • Forme IMM5589 Liste De Verification DES Documents - Conjoint De Fait (Incluant Les Enfants a Charge) - Canada (French), Page 10

    10

  • Forme IMM5589 Liste De Verification DES Documents - Conjoint De Fait (Incluant Les Enfants a Charge) - Canada (French), Page 1
  • Forme IMM5589 Liste De Verification DES Documents - Conjoint De Fait (Incluant Les Enfants a Charge) - Canada (French), Page 2
  • Forme IMM5589 Liste De Verification DES Documents - Conjoint De Fait (Incluant Les Enfants a Charge) - Canada (French), Page 3
  • Forme IMM5589 Liste De Verification DES Documents - Conjoint De Fait (Incluant Les Enfants a Charge) - Canada (French), Page 4
  • Forme IMM5589 Liste De Verification DES Documents - Conjoint De Fait (Incluant Les Enfants a Charge) - Canada (French), Page 5
  • Forme IMM5589 Liste De Verification DES Documents - Conjoint De Fait (Incluant Les Enfants a Charge) - Canada (French), Page 6
  • Forme IMM5589 Liste De Verification DES Documents - Conjoint De Fait (Incluant Les Enfants a Charge) - Canada (French), Page 7
  • Forme IMM5589 Liste De Verification DES Documents - Conjoint De Fait (Incluant Les Enfants a Charge) - Canada (French), Page 8
  • Forme IMM5589 Liste De Verification DES Documents - Conjoint De Fait (Incluant Les Enfants a Charge) - Canada (French), Page 9
  • Forme IMM5589 Liste De Verification DES Documents - Conjoint De Fait (Incluant Les Enfants a Charge) - Canada (French), Page 10
Prev 1 2 3 4 5 ... 10 Next
ADVERTISEMENT