Form 74A110 Kentucky Estimated Insurance Premiums Tax - Kentucky

Form 74A110 Kentucky Estimated Insurance Premiums Tax - Kentucky

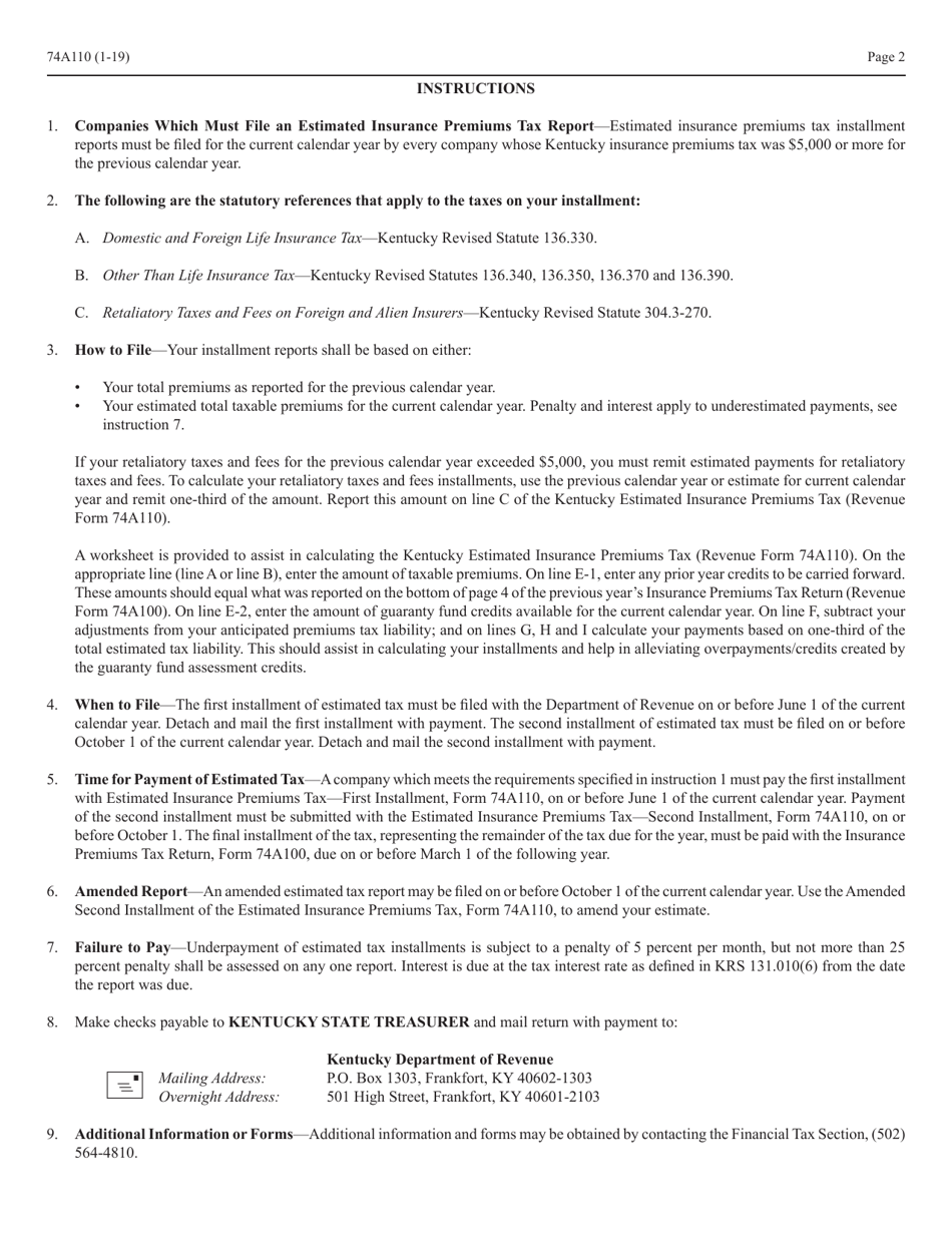
What Is Form 74A110?

This is a legal form that was released by the Kentucky Department of Revenue - a government authority operating within Kentucky. As of today, no separate filing guidelines for the form are provided by the issuing department.

FAQ

Q: What is Form 74A110?
A: Form 74A110 is the Kentucky Estimated Insurance Premiums Tax form.

Q: What is the purpose of Form 74A110?
A: Form 74A110 is used to calculate and pay the estimated insurance premiums tax in Kentucky.

Q: Who needs to file Form 74A110?
A: Insurance companies and other entities that are subject to the insurance premiums tax in Kentucky need to file Form 74A110.

Q: When is Form 74A110 due?
A: Form 74A110 is due on or before the 15th day of the fourth month following the end of the taxable period.

Q: Do I need to include a payment with Form 74A110?
A: Yes, you need to include the estimated tax payment with the form.

Q: Are there any penalties for late filing of Form 74A110?
A: Yes, there are penalties for late filing and late payment of the insurance premiums tax in Kentucky.

Q: What if I have questions about Form 74A110?
A: If you have questions about Form 74A110, you can contact the Kentucky Department of Revenue for assistance.

ADVERTISEMENT

Form Details:

  • Released on January 1, 2020;
  • The latest edition provided by the Kentucky Department of Revenue;
  • Easy to use and ready to print;
  • Quick to customize;
  • Compatible with most PDF-viewing applications;
  • Fill out the form in our online filing application.

Download a printable version of Form 74A110 by clicking the link below or browse more documents and templates provided by the Kentucky Department of Revenue.

Download Form 74A110 Kentucky Estimated Insurance Premiums Tax - Kentucky

4.7 of 5 (32 votes)
  • Form 74A110 Kentucky Estimated Insurance Premiums Tax - Kentucky

    1

  • Form 74A110 Kentucky Estimated Insurance Premiums Tax - Kentucky, Page 2

    2

  • Form 74A110 Kentucky Estimated Insurance Premiums Tax - Kentucky, Page 3

    3

  • Form 74A110 Kentucky Estimated Insurance Premiums Tax - Kentucky, Page 1
  • Form 74A110 Kentucky Estimated Insurance Premiums Tax - Kentucky, Page 2
  • Form 74A110 Kentucky Estimated Insurance Premiums Tax - Kentucky, Page 3
Prev 1 2 3 Next
ADVERTISEMENT