Form 635_0119 Statement of Change of Registered Office and / or Registered Agent - Iowa

Notification Icon This version of the form is not currently in use and is provided for reference only. Download this version of Form 635_0119 for the current year.

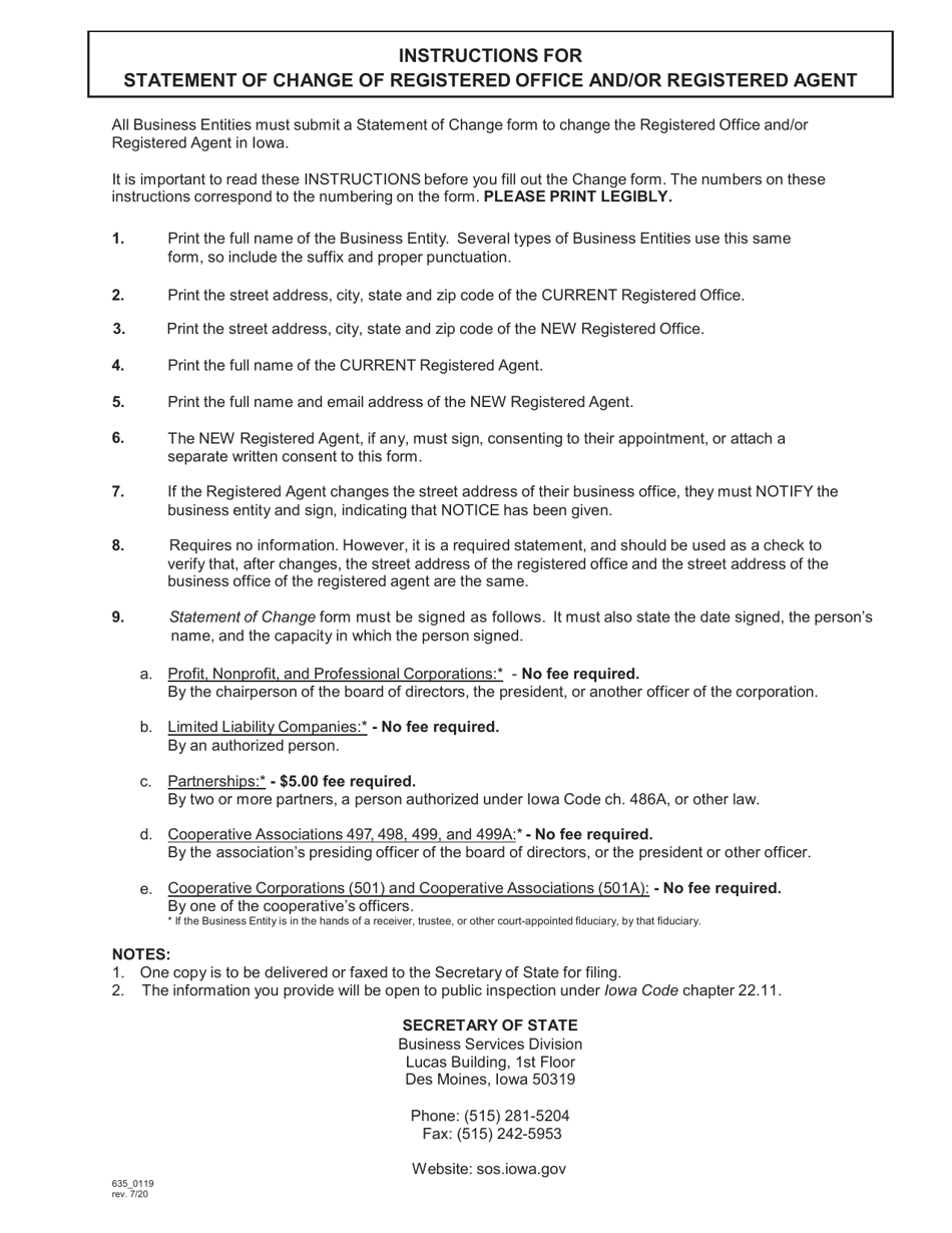
Form 635_0119 Statement of Change of Registered Office and / or Registered Agent - Iowa

What Is Form 635_0119?

This is a legal form that was released by the Iowa Secretary of State - a government authority operating within Iowa. As of today, no separate filing guidelines for the form are provided by the issuing department.

FAQ

Q: What is Form 635_0119?
A: Form 635_0119 is the Statement of Change of Registered Office and/or Registered Agent specifically for the state of Iowa.

Q: What is the purpose of Form 635_0119?
A: The purpose of Form 635_0119 is to notify the state of Iowa about any changes to the registered office or registered agent of a business entity.

Q: Who needs to file Form 635_0119?
A: Business entities registered in Iowa that have changed their registered office or registered agent need to file Form 635_0119.

Q: Are there any deadlines for filing Form 635_0119?
A: There is no specific deadline for filing Form 635_0119, but it should be filed as soon as possible after the change has occurred.

Q: What information is required on Form 635_0119?
A: Form 635_0119 requires information such as the entity name, old registered office/agent information, new registered office/agent information, and the effective date of the change.

Q: Do I need to notify anyone else about the change?
A: In addition to filing Form 635_0119, you may also need to notify other relevant parties such as the Internal Revenue Service (IRS) and any applicable state agencies.

Q: Can I make multiple changes on one Form 635_0119?
A: No, each change to the registered office or registered agent requires a separate Form 635_0119 to be filed.

ADVERTISEMENT

Form Details:

  • Released on July 1, 2020;
  • The latest edition provided by the Iowa Secretary of State;
  • Easy to use and ready to print;
  • Quick to customize;
  • Compatible with most PDF-viewing applications;
  • Fill out the form in our online filing application.

Download a fillable version of Form 635_0119 by clicking the link below or browse more documents and templates provided by the Iowa Secretary of State.

Download Form 635_0119 Statement of Change of Registered Office and / or Registered Agent - Iowa

4.7 of 5 (23 votes)
  • Form 635_0119 Statement of Change of Registered Office and/or Registered Agent - Iowa

    1

  • Form 635_0119 Statement of Change of Registered Office and/or Registered Agent - Iowa, Page 2

    2

  • Form 635_0119 Statement of Change of Registered Office and / or Registered Agent - Iowa, Page 1
  • Form 635_0119 Statement of Change of Registered Office and / or Registered Agent - Iowa, Page 2
Prev 1 2 Next
ADVERTISEMENT