Form AC8050-98 Aircraft Security Agreement

Form AC8050-98 Aircraft Security Agreement

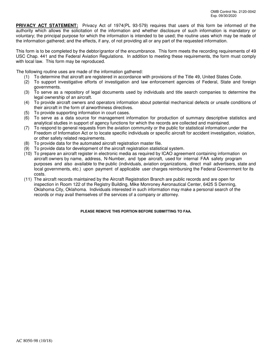
What Is Form AC8050-98?

This is a legal form that was released by the U.S. Department of Transportation - Federal Aviation Administration on October 1, 2018 and used country-wide. As of today, no separate filing guidelines for the form are provided by the issuing department.

Form Details:

  • Released on October 1, 2018;
  • The latest available edition released by the U.S. Department of Transportation - Federal Aviation Administration;
  • Easy to use and ready to print;
  • Yours to fill out and keep for your records;
  • Compatible with most PDF-viewing applications;
  • Fill out the form in our online filing application.

Download a fillable version of Form AC8050-98 by clicking the link below or browse more documents and templates provided by the U.S. Department of Transportation - Federal Aviation Administration.

ADVERTISEMENT

Download Form AC8050-98 Aircraft Security Agreement

4.6 of 5 (13 votes)
  • Form AC8050-98 Aircraft Security Agreement

    1

  • Form AC8050-98 Aircraft Security Agreement, Page 2

    2

  • Form AC8050-98 Aircraft Security Agreement, Page 3

    3

  • Form AC8050-98 Aircraft Security Agreement, Page 1
  • Form AC8050-98 Aircraft Security Agreement, Page 2
  • Form AC8050-98 Aircraft Security Agreement, Page 3
Prev 1 2 3 Next
ADVERTISEMENT

Related Documents