Form NHJB-2312-SE House of Corrections Sentence - New Hampshire

Notification Icon This version of the form is not currently in use and is provided for reference only. Download this version of Form NHJB-2312-SE for the current year.

Form NHJB-2312-SE House of Corrections Sentence - New Hampshire

What Is Form NHJB-2312-SE?

This is a legal form that was released by the New Hampshire Judicial Branch - a government authority operating within New Hampshire. As of today, no separate filing guidelines for the form are provided by the issuing department.

FAQ

Q: What is NHJB-2312-SE?
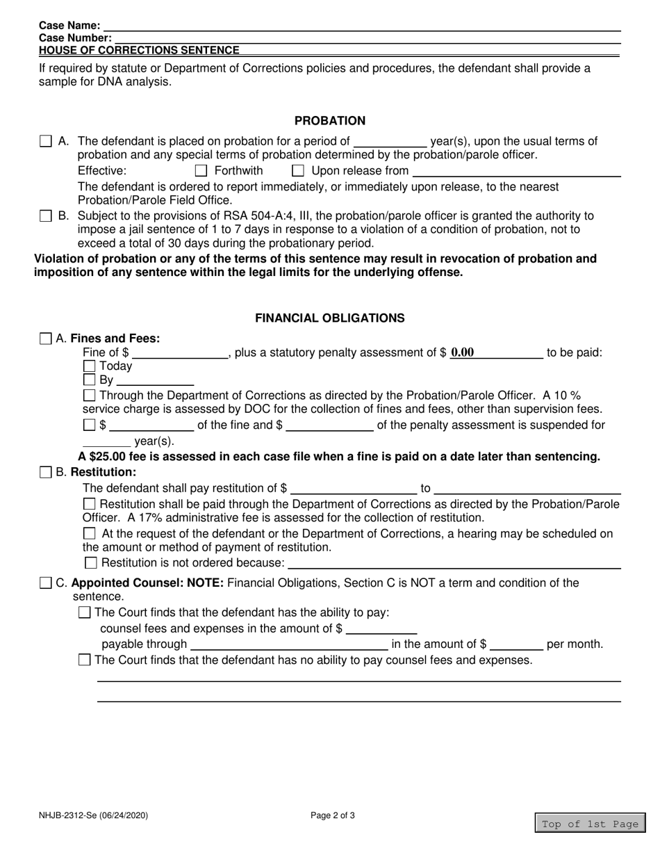
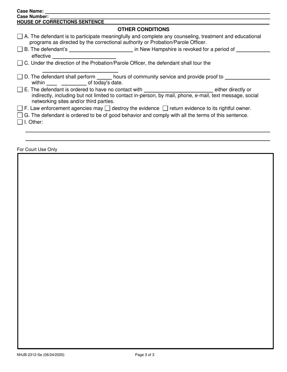
A: NHJB-2312-SE is a legal form used in the state of New Hampshire for sentencing individuals to the House of Corrections.

Q: What is the House of Corrections?
A: The House of Corrections is a correctional facility in New Hampshire where individuals who have been convicted of crimes serve their sentences.

Q: What is the purpose of NHJB-2312-SE?
A: NHJB-2312-SE is used to officially document and authorize the sentencing of an individual to the House of Corrections.

Q: Who uses NHJB-2312-SE?
A: NHJB-2312-SE is used by judges, court clerks, and other legal professionals involved in sentencing individuals to the House of Corrections.

ADVERTISEMENT

Form Details:

  • Released on June 24, 2020;
  • The latest edition provided by the New Hampshire Judicial Branch;
  • Easy to use and ready to print;
  • Quick to customize;
  • Compatible with most PDF-viewing applications;
  • Fill out the form in our online filing application.

Download a fillable version of Form NHJB-2312-SE by clicking the link below or browse more documents and templates provided by the New Hampshire Judicial Branch.

Download Form NHJB-2312-SE House of Corrections Sentence - New Hampshire

4.7 of 5 (23 votes)
  • Form NHJB-2312-SE House of Corrections Sentence - New Hampshire

    1

  • Form NHJB-2312-SE House of Corrections Sentence - New Hampshire, Page 2

    2

  • Form NHJB-2312-SE House of Corrections Sentence - New Hampshire, Page 3

    3

  • Form NHJB-2312-SE House of Corrections Sentence - New Hampshire, Page 1
  • Form NHJB-2312-SE House of Corrections Sentence - New Hampshire, Page 2
  • Form NHJB-2312-SE House of Corrections Sentence - New Hampshire, Page 3
Prev 1 2 3 Next
ADVERTISEMENT