Form 42A740-UTC Schedule UTC Unemployment Tax Credit - Kentucky

Form 42A740-UTC Schedule UTC Unemployment Tax Credit - Kentucky

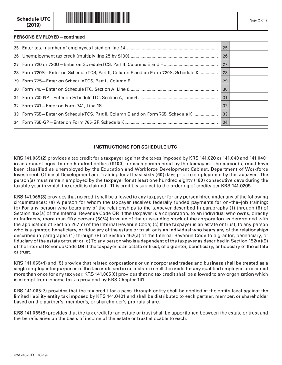
What Is Form 42A740-UTC Schedule UTC?

This is a legal form that was released by the Kentucky Department of Revenue - a government authority operating within Kentucky. As of today, no separate filing guidelines for the form are provided by the issuing department.

FAQ

Q: What is Form 42A740-UTC?
A: Form 42A740-UTC is a schedule used in Kentucky to claim the Unemployment Tax Credit.

Q: What is the Unemployment Tax Credit?
A: The Unemployment Tax Credit is a tax credit provided to employers who have paid unemployment taxes in Kentucky.

Q: Who can use Form 42A740-UTC?
A: Employers in Kentucky who have paid unemployment taxes and are eligible for the Unemployment Tax Credit can use this form.

Q: How do I claim the Unemployment Tax Credit?
A: To claim the Unemployment Tax Credit, you need to complete and file Form 42A740-UTC along with your other tax forms.

Q: When is the deadline to file Form 42A740-UTC?
A: The deadline to file Form 42A740-UTC is the same as the deadline for filing your annual tax return in Kentucky.

Q: Are there any eligibility requirements for the Unemployment Tax Credit?
A: Yes, to be eligible for the Unemployment Tax Credit, you must meet certain requirements set by the Kentucky Department of Revenue.

Q: Is the Unemployment Tax Credit refundable?
A: Yes, the Unemployment Tax Credit is refundable, which means you can receive a refund if the credit exceeds your tax liability.

Q: Can I claim the Unemployment Tax Credit if I haven't paid any unemployment taxes?
A: No, the Unemployment Tax Credit is specifically for employers who have paid unemployment taxes in Kentucky.

Q: What should I do if I have questions or need help with Form 42A740-UTC?
A: If you have questions or need assistance with Form 42A740-UTC, you should contact the Kentucky Department of Revenue for guidance.

ADVERTISEMENT

Form Details:

  • Released on October 1, 2019;
  • The latest edition provided by the Kentucky Department of Revenue;
  • Easy to use and ready to print;
  • Quick to customize;
  • Compatible with most PDF-viewing applications;
  • Fill out the form in our online filing application.

Download a fillable version of Form 42A740-UTC Schedule UTC by clicking the link below or browse more documents and templates provided by the Kentucky Department of Revenue.

Download Form 42A740-UTC Schedule UTC Unemployment Tax Credit - Kentucky

4.4 of 5 (18 votes)
  • Form 42A740-UTC Schedule UTC Unemployment Tax Credit - Kentucky

    1

  • Form 42A740-UTC Schedule UTC Unemployment Tax Credit - Kentucky, Page 2

    2

  • Form 42A740-UTC Schedule UTC Unemployment Tax Credit - Kentucky, Page 1
  • Form 42A740-UTC Schedule UTC Unemployment Tax Credit - Kentucky, Page 2
Prev 1 2 Next
ADVERTISEMENT