DNR Form 542-0470 Air Dispersion Modeling Checklist for Non-psd Construction Permit Applications - Iowa

Notification Icon This version of the form is not currently in use and is provided for reference only. Download this version of DNR Form 542-0470 for the current year.

DNR Form 542-0470 Air Dispersion Modeling Checklist for Non-psd Construction Permit Applications - Iowa

What Is DNR Form 542-0470?

This is a legal form that was released by the Iowa Department of Natural Resources - a government authority operating within Iowa. As of today, no separate filing guidelines for the form are provided by the issuing department.

FAQ

Q: What is DNR Form 542-0470?
A: DNR Form 542-0470 is an Air Dispersion Modeling Checklist for Non-psd Construction Permit Applications in Iowa.

Q: What does the checklist contain?
A: The checklist contains the requirements and information needed for air dispersion modeling in non-psd construction permit applications.

Q: What is air dispersion modeling?
A: Air dispersion modeling is a technique used to assess the potential impact of air pollutants released from a source.

Q: What are non-psd construction permit applications?
A: Non-psd construction permit applications refer to applications for construction permits that do not fall under the Prevention of Significant Deterioration (PSD) program.

Q: Who needs to use this checklist?
A: This checklist is intended for applicants submitting non-psd construction permit applications in Iowa.

ADVERTISEMENT

Form Details:

  • Released on June 5, 2020;
  • The latest edition provided by the Iowa Department of Natural Resources;
  • Easy to use and ready to print;
  • Quick to customize;
  • Compatible with most PDF-viewing applications;
  • Fill out the form in our online filing application.

Download a fillable version of DNR Form 542-0470 by clicking the link below or browse more documents and templates provided by the Iowa Department of Natural Resources.

Download DNR Form 542-0470 Air Dispersion Modeling Checklist for Non-psd Construction Permit Applications - Iowa

4.3 of 5 (10 votes)
  • DNR Form 542-0470 Air Dispersion Modeling Checklist for Non-psd Construction Permit Applications - Iowa

    1

  • DNR Form 542-0470 Air Dispersion Modeling Checklist for Non-psd Construction Permit Applications - Iowa, Page 2

    2

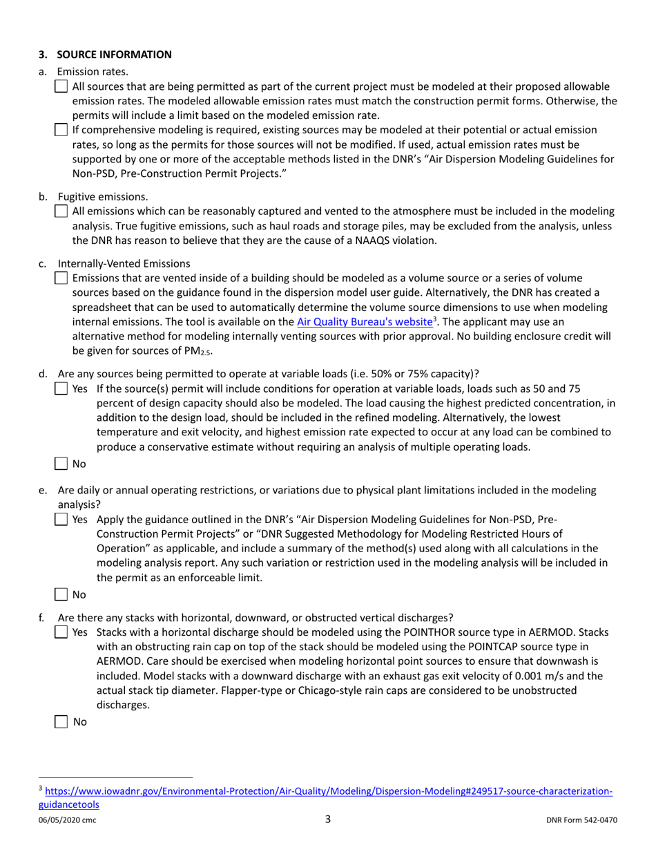
  • DNR Form 542-0470 Air Dispersion Modeling Checklist for Non-psd Construction Permit Applications - Iowa, Page 3

    3

  • DNR Form 542-0470 Air Dispersion Modeling Checklist for Non-psd Construction Permit Applications - Iowa, Page 4

    4

  • DNR Form 542-0470 Air Dispersion Modeling Checklist for Non-psd Construction Permit Applications - Iowa, Page 5

    5

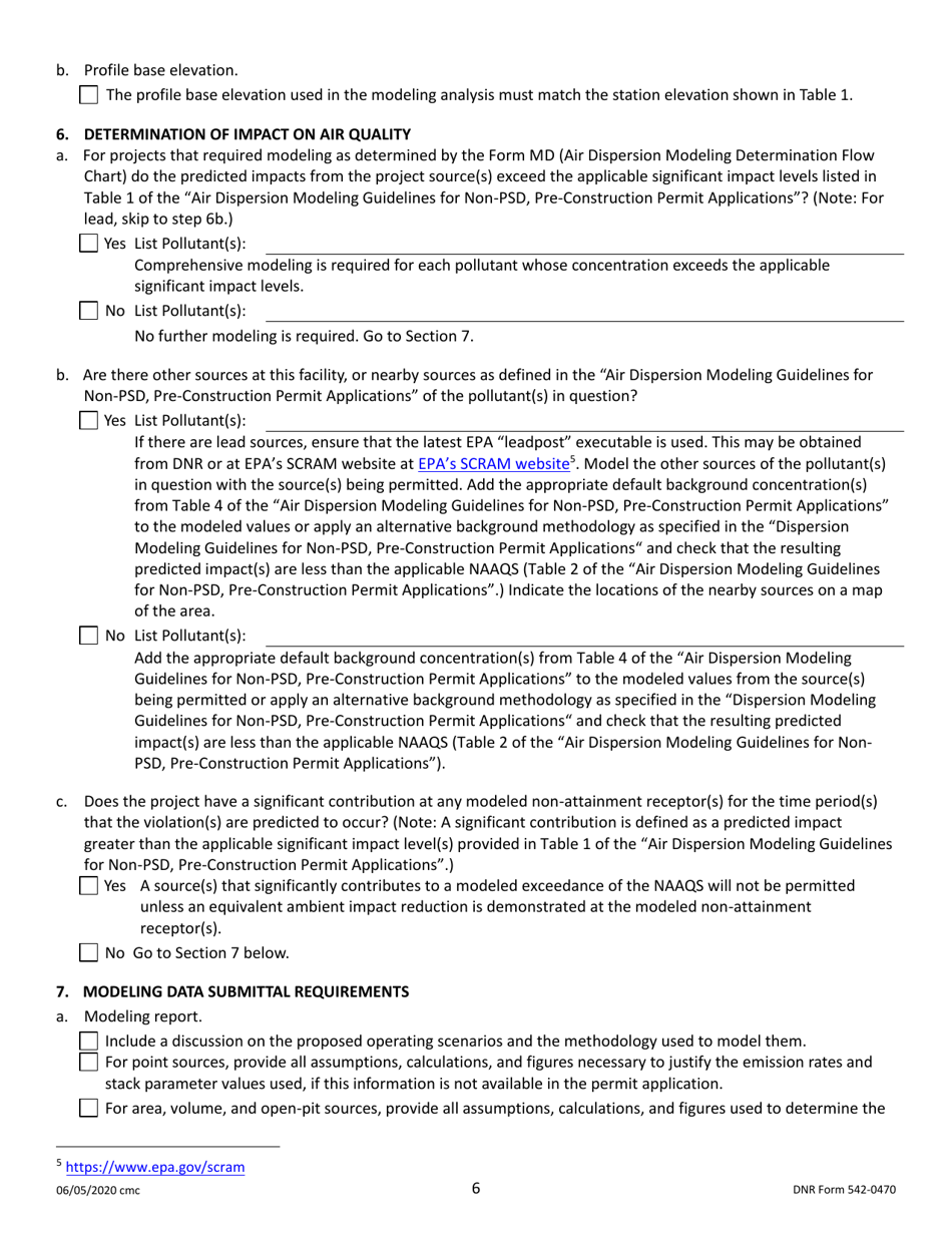
  • DNR Form 542-0470 Air Dispersion Modeling Checklist for Non-psd Construction Permit Applications - Iowa, Page 6

    6

  • DNR Form 542-0470 Air Dispersion Modeling Checklist for Non-psd Construction Permit Applications - Iowa, Page 7

    7

  • DNR Form 542-0470 Air Dispersion Modeling Checklist for Non-psd Construction Permit Applications - Iowa, Page 1
  • DNR Form 542-0470 Air Dispersion Modeling Checklist for Non-psd Construction Permit Applications - Iowa, Page 2
  • DNR Form 542-0470 Air Dispersion Modeling Checklist for Non-psd Construction Permit Applications - Iowa, Page 3
  • DNR Form 542-0470 Air Dispersion Modeling Checklist for Non-psd Construction Permit Applications - Iowa, Page 4
  • DNR Form 542-0470 Air Dispersion Modeling Checklist for Non-psd Construction Permit Applications - Iowa, Page 5
  • DNR Form 542-0470 Air Dispersion Modeling Checklist for Non-psd Construction Permit Applications - Iowa, Page 6
  • DNR Form 542-0470 Air Dispersion Modeling Checklist for Non-psd Construction Permit Applications - Iowa, Page 7
Prev 1 2 3 4 5 ... 7 Next
ADVERTISEMENT

Related Documents