Form UD-2 Verified Complaint - Action for Divorce - New York

Notification Icon This version of the form is not currently in use and is provided for reference only. Download this version of Form UD-2 for the current year.

Form UD-2 Verified Complaint - Action for Divorce - New York

What Is Form UD-2?

This is a legal form that was released by the New York Supreme Court - a government authority operating within New York. As of today, no separate filing guidelines for the form are provided by the issuing department.

FAQ

Q: What is a Form UD-2?
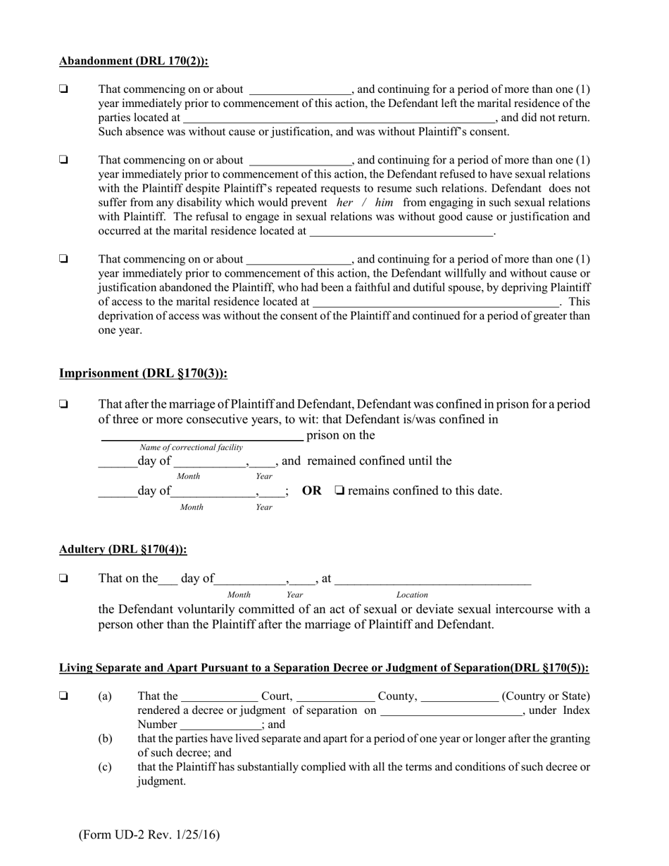
A: Form UD-2 is a Verified Complaint used to initiate a divorce action in New York.

Q: What is a Verified Complaint?
A: A Verified Complaint is a legal document that states the facts and reasons for requesting a divorce.

Q: What is an action for divorce?
A: An action for divorce is a legal process to formally dissolve a marriage.

Q: Is the Form UD-2 specific to New York?
A: Yes, Form UD-2 is specifically designed for use in divorce actions in New York.

Q: What information is required in a Form UD-2?
A: A Form UD-2 requires information about the parties involved, grounds for divorce, and requested relief.

Q: Do I need a lawyer to fill out Form UD-2?
A: While it is not required, it is recommended to consult with a lawyer to ensure your rights and interests are protected.

Q: What is the filing fee for a Form UD-2?
A: The filing fee for a Form UD-2 varies by county in New York. Contact your local county clerk's office for the specific fee.

Q: What happens after filing a Form UD-2?
A: After filing a Form UD-2, you will need to serve a copy on your spouse and proceed with the legal process according to the rules of the court.

ADVERTISEMENT

Form Details:

  • Released on January 25, 2016;
  • The latest edition provided by the New York Supreme Court;
  • Easy to use and ready to print;
  • Quick to customize;
  • Compatible with most PDF-viewing applications;
  • Fill out the form in our online filing application.

Download a printable version of Form UD-2 by clicking the link below or browse more documents and templates provided by the New York Supreme Court.

Download Form UD-2 Verified Complaint - Action for Divorce - New York

4.8 of 5 (25 votes)
  • Form UD-2 Verified Complaint - Action for Divorce - New York

    1

  • Form UD-2 Verified Complaint - Action for Divorce - New York, Page 2

    2

  • Form UD-2 Verified Complaint - Action for Divorce - New York, Page 3

    3

  • Form UD-2 Verified Complaint - Action for Divorce - New York, Page 4

    4

  • Form UD-2 Verified Complaint - Action for Divorce - New York, Page 5

    5

  • Form UD-2 Verified Complaint - Action for Divorce - New York, Page 1
  • Form UD-2 Verified Complaint - Action for Divorce - New York, Page 2
  • Form UD-2 Verified Complaint - Action for Divorce - New York, Page 3
  • Form UD-2 Verified Complaint - Action for Divorce - New York, Page 4
  • Form UD-2 Verified Complaint - Action for Divorce - New York, Page 5
Prev 1 2 3 4 5 Next
ADVERTISEMENT