Notification for the Establishment of a Limited Purpose Office - Arkansas

Notification Icon This version of the form is not currently in use and is provided for reference only. Download this version of the document for the current year.

Notification for the Establishment of a Limited Purpose Office - Arkansas

Notification for the Establishment of a Limited Purpose Office is a legal document that was released by the Arkansas State Bank Department - a government authority operating within Arkansas.

FAQ

Q: What is a Limited Purpose Office?
A: A Limited Purpose Office is a branch of a company that is established in a specific state for limited business activities.

Q: Why would a company establish a Limited Purpose Office?
A: A company may establish a Limited Purpose Office to carry out specific activities in a particular state while maintaining its main office in another location.

Q: What are the activities that can be conducted in a Limited Purpose Office?
A: The activities that can be conducted in a Limited Purpose Office typically include administrative tasks, contract negotiations, marketing, and sales support.

Q: Does a Limited Purpose Office have to be registered?
A: Yes, a Limited Purpose Office must be registered with the state in which it is established.

Q: What is the process for registering a Limited Purpose Office in Arkansas?
A: The process for registering a Limited Purpose Office in Arkansas involves submitting an application to the Secretary of State and paying the required fees.

Q: Is there any specific documentation required for registering a Limited Purpose Office?
A: Yes, specific documentation such as a Certificate of Authority or a Certificate of Compliance may be required depending on the nature of the business conducted.

Q: Are there any ongoing compliance requirements for a Limited Purpose Office?
A: Yes, a Limited Purpose Office must adhere to the ongoing compliance requirements set forth by the state, such as filing annual reports and maintaining a registered agent.

Q: Can a Limited Purpose Office have employees?
A: Yes, a Limited Purpose Office can have employees, but the number and nature of the employees may be limited by the scope of the office.

Q: Can a Limited Purpose Office be converted into a full branch office?
A: Yes, a Limited Purpose Office can be converted into a full branch office if the company decides to expand its operations in the state.

Q: What happens if a Limited Purpose Office is no longer needed?
A: If a Limited Purpose Office is no longer needed, the company can choose to dissolve the office and terminate its registration with the state.

ADVERTISEMENT

Form Details:

  • Released on April 1, 2020;
  • The latest edition currently provided by the Arkansas State Bank Department;
  • Ready to use and print;
  • Easy to customize;
  • Compatible with most PDF-viewing applications;
  • Fill out the form in our online filing application.

Download a printable version of the form by clicking the link below or browse more documents and templates provided by the Arkansas State Bank Department.

Download Notification for the Establishment of a Limited Purpose Office - Arkansas

4.4 of 5 (31 votes)
  • Notification for the Establishment of a Limited Purpose Office - Arkansas

    1

  • Notification for the Establishment of a Limited Purpose Office - Arkansas, Page 2

    2

  • Notification for the Establishment of a Limited Purpose Office - Arkansas, Page 3

    3

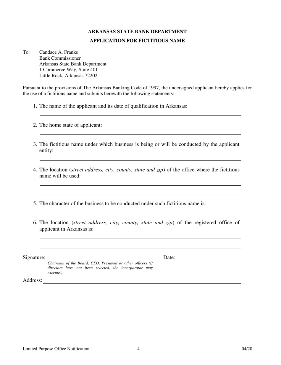
  • Notification for the Establishment of a Limited Purpose Office - Arkansas, Page 4

    4

  • Notification for the Establishment of a Limited Purpose Office - Arkansas, Page 5

    5

  • Notification for the Establishment of a Limited Purpose Office - Arkansas, Page 1
  • Notification for the Establishment of a Limited Purpose Office - Arkansas, Page 2
  • Notification for the Establishment of a Limited Purpose Office - Arkansas, Page 3
  • Notification for the Establishment of a Limited Purpose Office - Arkansas, Page 4
  • Notification for the Establishment of a Limited Purpose Office - Arkansas, Page 5
Prev 1 2 3 4 5 Next
ADVERTISEMENT