Application for Branch Bank - Standard - Arkansas

Notification Icon This version of the form is not currently in use and is provided for reference only. Download this version of the document for the current year.

Application for Branch Bank - Standard - Arkansas

Application for Branch Bank - Standard is a legal document that was released by the Arkansas State Bank Department - a government authority operating within Arkansas.

FAQ

Q: What is the application process for opening a branch bank in Arkansas?
A: To open a branch bank in Arkansas, you need to fill out an application and submit it to the appropriate regulatory authority.

Q: What are the requirements to open a branch bank in Arkansas?
A: The requirements to open a branch bank in Arkansas include providing financial statements, demonstrating sufficient capital, and complying with regulatory guidelines.

Q: How long does it take to get approval for opening a branch bank in Arkansas?
A: The approval time for opening a branch bank in Arkansas can vary, but it typically takes several months for the regulatory authorities to review and process the application.

Q: Are there any specific location restrictions for opening a branch bank in Arkansas?
A: Yes, there are certain location restrictions for opening a branch bank in Arkansas. These restrictions aim to ensure fair competition and prevent concentration of banks in specific areas.

Q: What are the fees associated with opening a branch bank in Arkansas?
A: The fees associated with opening a branch bank in Arkansas may vary, and it is advisable to consult with the regulatory authority for detailed information on the applicable fees.

ADVERTISEMENT

Form Details:

  • Released on April 1, 2020;
  • The latest edition currently provided by the Arkansas State Bank Department;
  • Ready to use and print;
  • Easy to customize;
  • Compatible with most PDF-viewing applications;
  • Fill out the form in our online filing application.

Download a printable version of the form by clicking the link below or browse more documents and templates provided by the Arkansas State Bank Department.

Download Application for Branch Bank - Standard - Arkansas

4.8 of 5 (14 votes)
  • Application for Branch Bank - Standard - Arkansas

    1

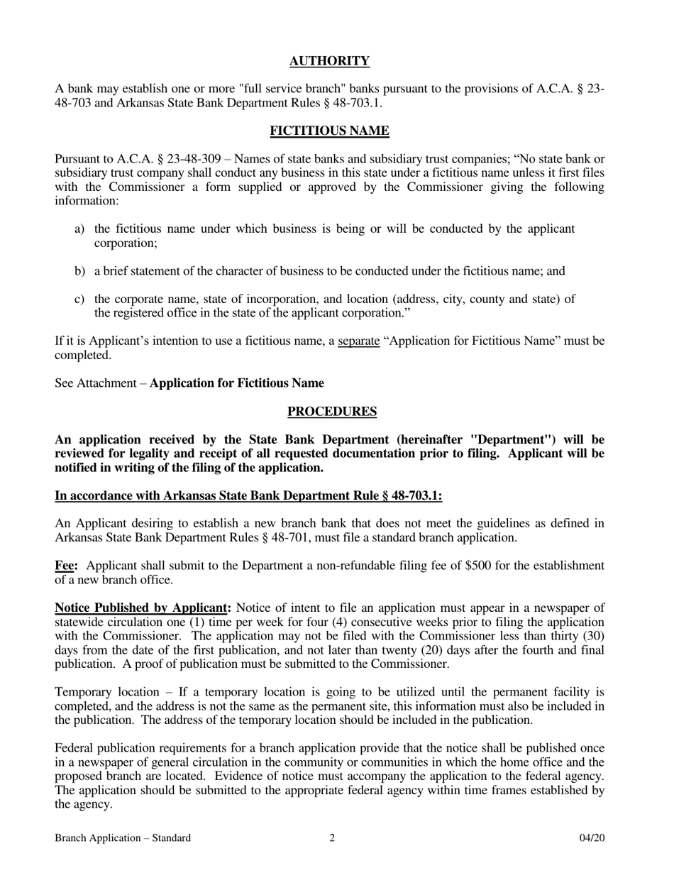
  • Application for Branch Bank - Standard - Arkansas, Page 2

    2

  • Application for Branch Bank - Standard - Arkansas, Page 3

    3

  • Application for Branch Bank - Standard - Arkansas, Page 4

    4

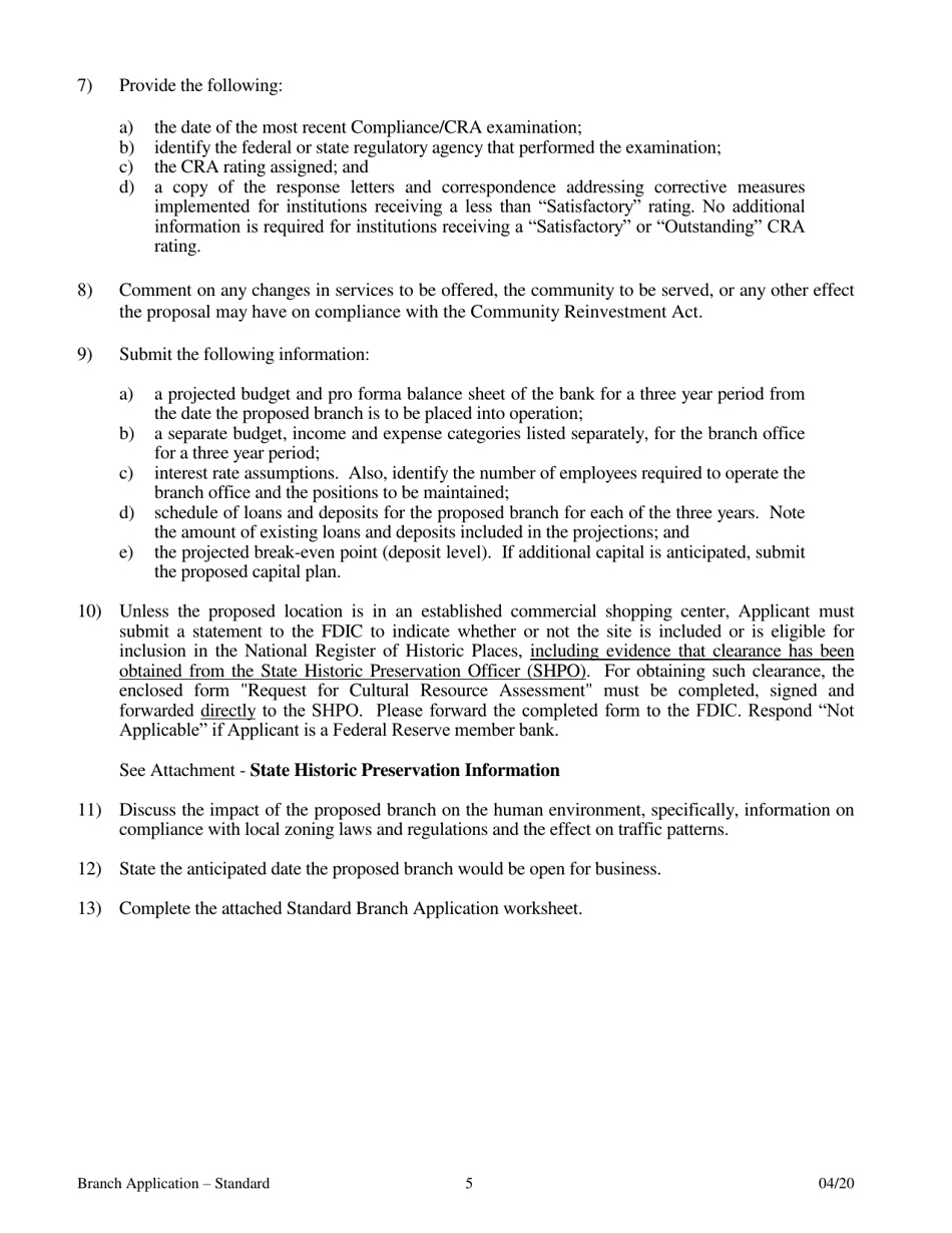
  • Application for Branch Bank - Standard - Arkansas, Page 5

    5

  • Application for Branch Bank - Standard - Arkansas, Page 6

    6

  • Application for Branch Bank - Standard - Arkansas, Page 7

    7

  • Application for Branch Bank - Standard - Arkansas, Page 8

    8

  • Application for Branch Bank - Standard - Arkansas, Page 9

    9

  • Application for Branch Bank - Standard - Arkansas, Page 10

    10

  • Application for Branch Bank - Standard - Arkansas, Page 11

    11

  • Application for Branch Bank - Standard - Arkansas, Page 12

    12

  • Application for Branch Bank - Standard - Arkansas, Page 13

    13

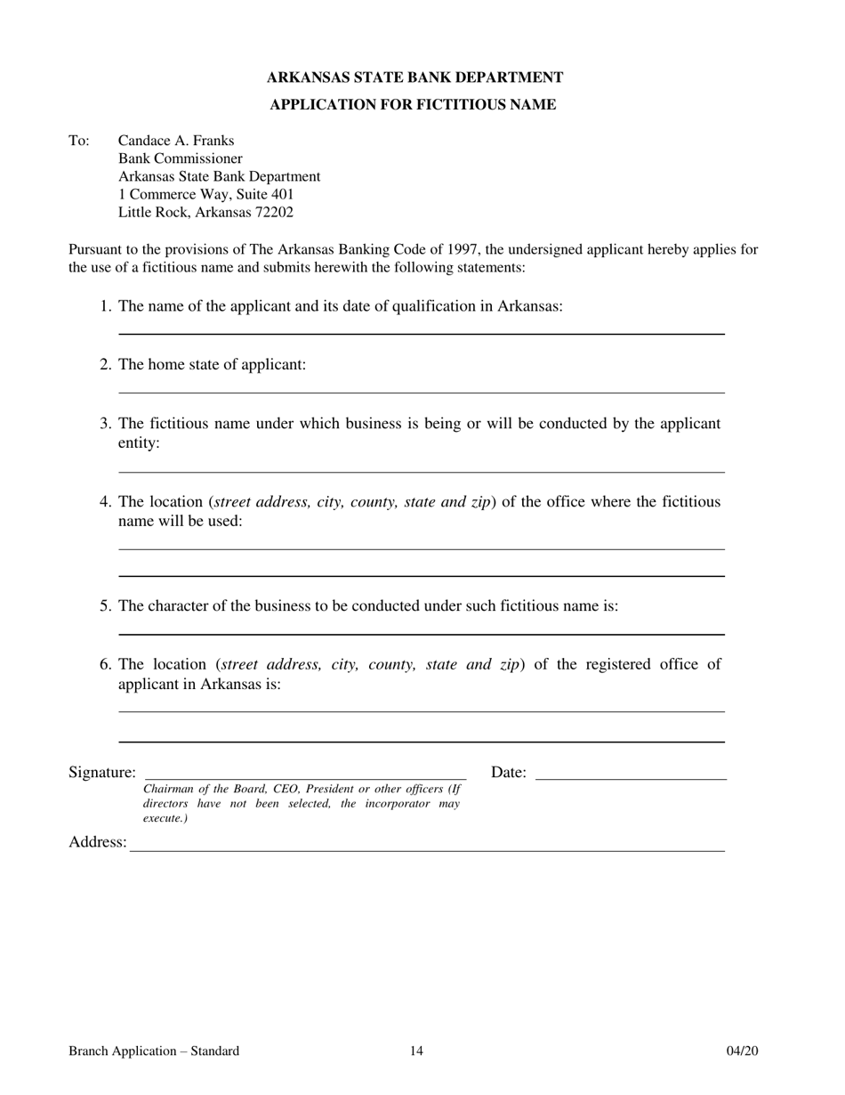
  • Application for Branch Bank - Standard - Arkansas, Page 14

    14

  • Application for Branch Bank - Standard - Arkansas, Page 15

    15

  • Application for Branch Bank - Standard - Arkansas, Page 1
  • Application for Branch Bank - Standard - Arkansas, Page 2
  • Application for Branch Bank - Standard - Arkansas, Page 3
  • Application for Branch Bank - Standard - Arkansas, Page 4
  • Application for Branch Bank - Standard - Arkansas, Page 5
  • Application for Branch Bank - Standard - Arkansas, Page 6
  • Application for Branch Bank - Standard - Arkansas, Page 7
  • Application for Branch Bank - Standard - Arkansas, Page 8
  • Application for Branch Bank - Standard - Arkansas, Page 9
  • Application for Branch Bank - Standard - Arkansas, Page 10
  • Application for Branch Bank - Standard - Arkansas, Page 11
  • Application for Branch Bank - Standard - Arkansas, Page 12
  • Application for Branch Bank - Standard - Arkansas, Page 13
  • Application for Branch Bank - Standard - Arkansas, Page 14
  • Application for Branch Bank - Standard - Arkansas, Page 15
Prev 1 2 3 4 5 ... 15 Next
ADVERTISEMENT