Form DBPR VM11 Change of Status Application - Florida

Form DBPR VM11 Change of Status Application - Florida

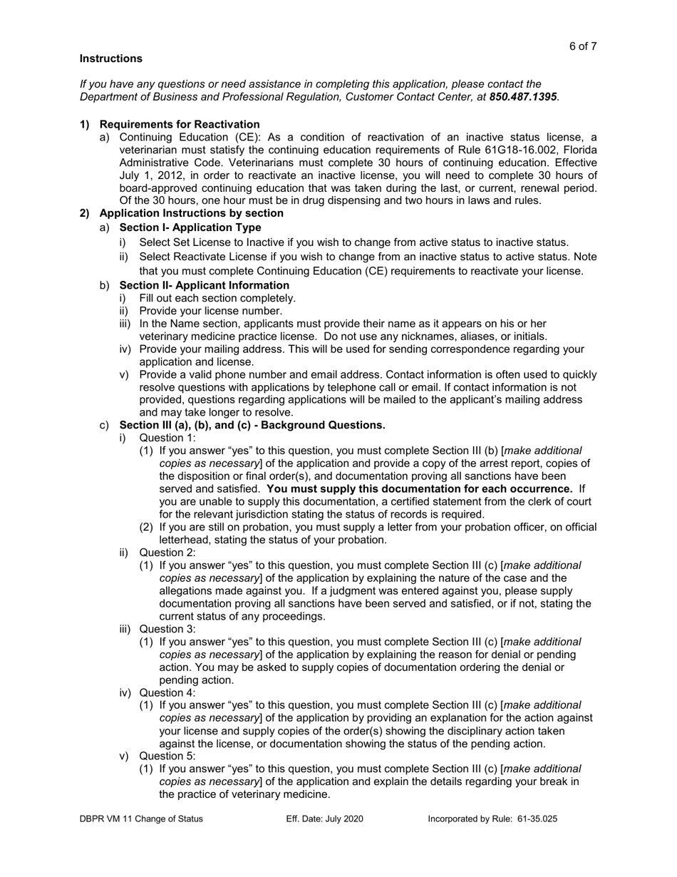
What Is Form DBPR VM11?

This is a legal form that was released by the Florida Department of Business & Professional Regulation - a government authority operating within Florida. As of today, no separate filing guidelines for the form are provided by the issuing department.

FAQ

Q: What is the Form DBPR VM11 Change of Status Application?
A: The Form DBPR VM11 Change of Status Application is a document used in Florida to request a change in the status of a professional license.

Q: What types of status changes can be requested with the Form DBPR VM11 Change of Status Application?
A: The Form DBPR VM11 Change of Status Application can be used to request changes such as reinstatement, retirement, inactive status, name change, and more, depending on the specific professional license.

Q: Do I need to pay a fee when submitting the Form DBPR VM11 Change of Status Application?
A: Yes, there is usually a fee associated with submitting the Form DBPR VM11 Change of Status Application. The fee amount may vary depending on the specific license and status change requested.

Q: How long does it take for a status change request to be processed?
A: The processing time for a status change request submitted through the Form DBPR VM11 Change of Status Application can vary. It is recommended to contact the DBPR directly for specific processing timeframes.

ADVERTISEMENT

Form Details:

  • Released on July 1, 2020;
  • The latest edition provided by the Florida Department of Business & Professional Regulation;
  • Easy to use and ready to print;
  • Quick to customize;
  • Compatible with most PDF-viewing applications;
  • Fill out the form in our online filing application.

Download a printable version of Form DBPR VM11 by clicking the link below or browse more documents and templates provided by the Florida Department of Business & Professional Regulation.

Download Form DBPR VM11 Change of Status Application - Florida

4.8 of 5 (12 votes)
  • Form DBPR VM11 Change of Status Application - Florida

    1

  • Form DBPR VM11 Change of Status Application - Florida, Page 2

    2

  • Form DBPR VM11 Change of Status Application - Florida, Page 3

    3

  • Form DBPR VM11 Change of Status Application - Florida, Page 4

    4

  • Form DBPR VM11 Change of Status Application - Florida, Page 5

    5

  • Form DBPR VM11 Change of Status Application - Florida, Page 6

    6

  • Form DBPR VM11 Change of Status Application - Florida, Page 7

    7

  • Form DBPR VM11 Change of Status Application - Florida, Page 1
  • Form DBPR VM11 Change of Status Application - Florida, Page 2
  • Form DBPR VM11 Change of Status Application - Florida, Page 3
  • Form DBPR VM11 Change of Status Application - Florida, Page 4
  • Form DBPR VM11 Change of Status Application - Florida, Page 5
  • Form DBPR VM11 Change of Status Application - Florida, Page 6
  • Form DBPR VM11 Change of Status Application - Florida, Page 7
Prev 1 2 3 4 5 ... 7 Next
ADVERTISEMENT