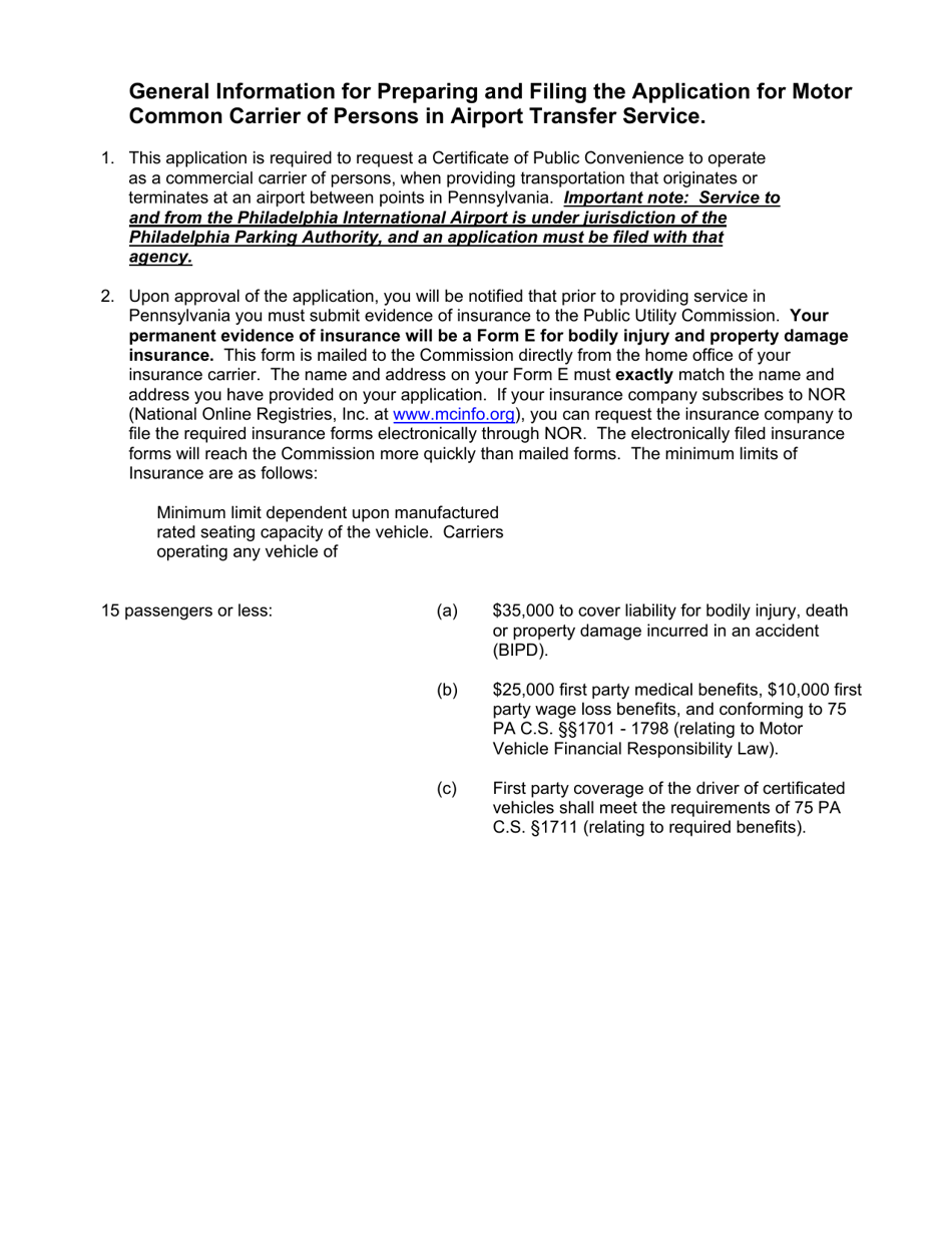
Application for Motor Common Carrier of Persons in Airport Transfer Service - Pennsylvania

Notification Icon This version of the form is not currently in use and is provided for reference only. Download this version of the document for the current year.

Application for Motor Common Carrier of Persons in Airport Transfer Service - Pennsylvania

Application for Motor Common Carrier of Persons in Airport Transfer Service is a legal document that was released by the Pennsylvania Public Utility Commission - a government authority operating within Pennsylvania.

FAQ

Q: What is an application for Motor Common Carrier of Persons in Airport Transfer Service?
A: It is a form that allows individuals or companies to apply for a license to provide transportation services to passengers in Pennsylvania airports.

Q: Who needs to fill out this application?
A: Any individual or company that wants to provide transportation services to passengers in Pennsylvania airports.

Q: What is a Motor Common Carrier?
A: A Motor Common Carrier is a company or individual that transports passengers for a fee using a motor vehicle.

Q: What is an Airport Transfer Service?
A: An Airport Transfer Service is a transportation service that provides transportation to and from airports for passengers.

Q: What information is required on the application?
A: The application requires information such as the name and address of the applicant, vehicle information, proof of insurance, and other relevant details.

Q: Are there any fees associated with the application?
A: Yes, there are fees associated with the application. The specific fees can be found on the application form.

Q: How long does it take to process the application?
A: The processing time for the application varies, but it typically takes several weeks to be processed.

Q: What happens after the application is approved?
A: Once the application is approved, the applicant will receive a Motor Common Carrier certificate and will be authorized to provide transportation services in airport transfer service.

Q: What if my application is denied?
A: If your application is denied, you will receive a notification with the reason for the denial. You may have the opportunity to appeal the decision.

Q: Can I start providing services before my application is approved?
A: No, you cannot provide transportation services until your application is approved and you receive the necessary authorization.

Q: Are there any additional requirements for operating as a Motor Common Carrier of Persons in Airport Transfer Service?
A: Yes, there are additional requirements that must be met, such as maintaining proper insurance coverage and complying with all applicable laws and regulations.

Q: Can I transfer my license to another person or company?
A: No, the license is not transferable. If you sell your company or want to transfer the license to another person or company, they must apply for a new license.

ADVERTISEMENT

Form Details:

  • Released on August 21, 2020;
  • The latest edition currently provided by the Pennsylvania Public Utility Commission;
  • Ready to use and print;
  • Easy to customize;
  • Compatible with most PDF-viewing applications;
  • Fill out the form in our online filing application.

Download a printable version of the form by clicking the link below or browse more documents and templates provided by the Pennsylvania Public Utility Commission.

Download Application for Motor Common Carrier of Persons in Airport Transfer Service - Pennsylvania

4.6 of 5 (20 votes)
  • Application for Motor Common Carrier of Persons in Airport Transfer Service - Pennsylvania

    1

  • Application for Motor Common Carrier of Persons in Airport Transfer Service - Pennsylvania, Page 2

    2

  • Application for Motor Common Carrier of Persons in Airport Transfer Service - Pennsylvania, Page 3

    3

  • Application for Motor Common Carrier of Persons in Airport Transfer Service - Pennsylvania, Page 4

    4

  • Application for Motor Common Carrier of Persons in Airport Transfer Service - Pennsylvania, Page 5

    5

  • Application for Motor Common Carrier of Persons in Airport Transfer Service - Pennsylvania, Page 6

    6

  • Application for Motor Common Carrier of Persons in Airport Transfer Service - Pennsylvania, Page 7

    7

  • Application for Motor Common Carrier of Persons in Airport Transfer Service - Pennsylvania, Page 8

    8

  • Application for Motor Common Carrier of Persons in Airport Transfer Service - Pennsylvania, Page 9

    9

  • Application for Motor Common Carrier of Persons in Airport Transfer Service - Pennsylvania, Page 10

    10

  • Application for Motor Common Carrier of Persons in Airport Transfer Service - Pennsylvania, Page 1
  • Application for Motor Common Carrier of Persons in Airport Transfer Service - Pennsylvania, Page 2
  • Application for Motor Common Carrier of Persons in Airport Transfer Service - Pennsylvania, Page 3
  • Application for Motor Common Carrier of Persons in Airport Transfer Service - Pennsylvania, Page 4
  • Application for Motor Common Carrier of Persons in Airport Transfer Service - Pennsylvania, Page 5
  • Application for Motor Common Carrier of Persons in Airport Transfer Service - Pennsylvania, Page 6
  • Application for Motor Common Carrier of Persons in Airport Transfer Service - Pennsylvania, Page 7
  • Application for Motor Common Carrier of Persons in Airport Transfer Service - Pennsylvania, Page 8
  • Application for Motor Common Carrier of Persons in Airport Transfer Service - Pennsylvania, Page 9
  • Application for Motor Common Carrier of Persons in Airport Transfer Service - Pennsylvania, Page 10
Prev 1 2 3 4 5 ... 10 Next
ADVERTISEMENT