Application for Motor Common Carrier of Persons in Paratransit Service - Pennsylvania

Notification Icon This version of the form is not currently in use and is provided for reference only. Download this version of the document for the current year.

Application for Motor Common Carrier of Persons in Paratransit Service - Pennsylvania

Application for Motor Common Carrier of Persons in Paratransit Service is a legal document that was released by the Pennsylvania Public Utility Commission - a government authority operating within Pennsylvania.

FAQ

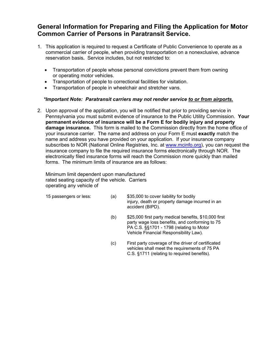
Q: What is the Motor Common Carrier of Persons in Paratransit Service?
A: Motor Common Carrier of Persons in Paratransit Service refers to transportation services for individuals with disabilities or special needs in Pennsylvania.

Q: Who can apply for a Motor Common Carrier of Persons in Paratransit Service license?
A: Any individual or entity that wants to provide paratransit services in Pennsylvania can apply for the license.

Q: What are the requirements for obtaining a Motor Common Carrier of Persons in Paratransit Service license in Pennsylvania?
A: Applicants need to meet certain criteria such as having appropriate insurance coverage, complying with vehicle safety regulations, and completing necessary application forms.

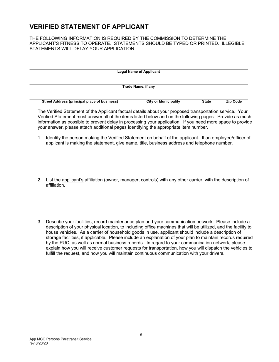
Q: How can I apply for a Motor Common Carrier of Persons in Paratransit Service license in Pennsylvania?
A: You can apply by submitting a completed application form, along with any required documentation and fees, to the appropriate regulatory agency.

Q: What is the regulatory agency responsible for issuing the Motor Common Carrier of Persons in Paratransit Service license in Pennsylvania?
A: The Pennsylvania Public Utility Commission (PUC) is responsible for issuing the license.

ADVERTISEMENT

Form Details:

  • Released on August 20, 2020;
  • The latest edition currently provided by the Pennsylvania Public Utility Commission;
  • Ready to use and print;
  • Easy to customize;
  • Compatible with most PDF-viewing applications;
  • Fill out the form in our online filing application.

Download a printable version of the form by clicking the link below or browse more documents and templates provided by the Pennsylvania Public Utility Commission.

Download Application for Motor Common Carrier of Persons in Paratransit Service - Pennsylvania

4.4 of 5 (7 votes)
  • Application for Motor Common Carrier of Persons in Paratransit Service - Pennsylvania

    1

  • Application for Motor Common Carrier of Persons in Paratransit Service - Pennsylvania, Page 2

    2

  • Application for Motor Common Carrier of Persons in Paratransit Service - Pennsylvania, Page 3

    3

  • Application for Motor Common Carrier of Persons in Paratransit Service - Pennsylvania, Page 4

    4

  • Application for Motor Common Carrier of Persons in Paratransit Service - Pennsylvania, Page 5

    5

  • Application for Motor Common Carrier of Persons in Paratransit Service - Pennsylvania, Page 6

    6

  • Application for Motor Common Carrier of Persons in Paratransit Service - Pennsylvania, Page 7

    7

  • Application for Motor Common Carrier of Persons in Paratransit Service - Pennsylvania, Page 8

    8

  • Application for Motor Common Carrier of Persons in Paratransit Service - Pennsylvania, Page 9

    9

  • Application for Motor Common Carrier of Persons in Paratransit Service - Pennsylvania, Page 10

    10

  • Application for Motor Common Carrier of Persons in Paratransit Service - Pennsylvania, Page 1
  • Application for Motor Common Carrier of Persons in Paratransit Service - Pennsylvania, Page 2
  • Application for Motor Common Carrier of Persons in Paratransit Service - Pennsylvania, Page 3
  • Application for Motor Common Carrier of Persons in Paratransit Service - Pennsylvania, Page 4
  • Application for Motor Common Carrier of Persons in Paratransit Service - Pennsylvania, Page 5
  • Application for Motor Common Carrier of Persons in Paratransit Service - Pennsylvania, Page 6
  • Application for Motor Common Carrier of Persons in Paratransit Service - Pennsylvania, Page 7
  • Application for Motor Common Carrier of Persons in Paratransit Service - Pennsylvania, Page 8
  • Application for Motor Common Carrier of Persons in Paratransit Service - Pennsylvania, Page 9
  • Application for Motor Common Carrier of Persons in Paratransit Service - Pennsylvania, Page 10
Prev 1 2 3 4 5 ... 10 Next
ADVERTISEMENT