Form 353 Certificate of Cancellation - Foreign Limited Partnership - Rhode Island

Notification Icon This version of the form is not currently in use and is provided for reference only. Download this version of Form 353 for the current year.

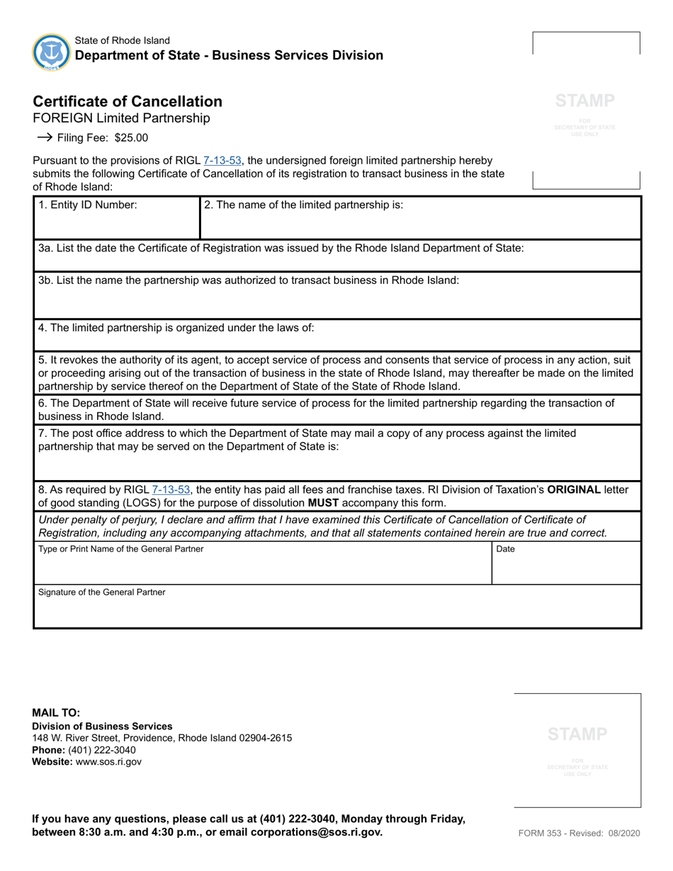
Form 353 Certificate of Cancellation - Foreign Limited Partnership - Rhode Island

What Is Form 353?

This is a legal form that was released by the Rhode Island Secretary of State - a government authority operating within Rhode Island. As of today, no separate filing guidelines for the form are provided by the issuing department.

FAQ

Q: What is Form 353?
A: Form 353 is a Certificate of Cancellation specifically for foreign limited partnerships in the state of Rhode Island.

Q: Who should file Form 353?
A: Foreign limited partnerships that wish to cancel their registration in Rhode Island should file Form 353.

Q: What information is required on Form 353?
A: Form 353 requires information such as the name of the foreign limited partnership, the date of dissolution or cancellation, and the signature of an authorized person.

Q: Is there a filing fee for Form 353?
A: Yes, there is a $50 filing fee for Form 353.

Q: What is the deadline for filing Form 353?
A: There is no specific deadline for filing Form 353, but it should be filed as soon as possible after the foreign limited partnership has been dissolved or canceled.

Q: What happens after Form 353 is filed?
A: Once Form 353 is filed and approved, the foreign limited partnership will be officially canceled and its registration in Rhode Island will be terminated.

ADVERTISEMENT

Form Details:

  • Released on August 1, 2020;
  • The latest edition provided by the Rhode Island Secretary of State;
  • Easy to use and ready to print;
  • Quick to customize;
  • Compatible with most PDF-viewing applications;
  • Fill out the form in our online filing application.

Download a fillable version of Form 353 by clicking the link below or browse more documents and templates provided by the Rhode Island Secretary of State.

Download Form 353 Certificate of Cancellation - Foreign Limited Partnership - Rhode Island

4.5 of 5 (10 votes)
  • Form 353 Certificate of Cancellation - Foreign Limited Partnership - Rhode Island

    1

  • Form 353 Certificate of Cancellation - Foreign Limited Partnership - Rhode Island, Page 2

    2

  • Form 353 Certificate of Cancellation - Foreign Limited Partnership - Rhode Island, Page 3

    3

  • Form 353 Certificate of Cancellation - Foreign Limited Partnership - Rhode Island, Page 1
  • Form 353 Certificate of Cancellation - Foreign Limited Partnership - Rhode Island, Page 2
  • Form 353 Certificate of Cancellation - Foreign Limited Partnership - Rhode Island, Page 3
Prev 1 2 3 Next
ADVERTISEMENT