Form 651 Renewal Statement of Transparency and Sustainability Standards - Rhode Island

Notification Icon This version of the form is not currently in use and is provided for reference only. Download this version of Form 651 for the current year.

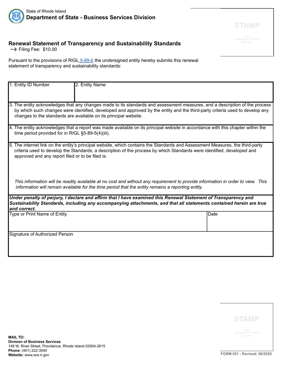
Form 651 Renewal Statement of Transparency and Sustainability Standards - Rhode Island

What Is Form 651?

This is a legal form that was released by the Rhode Island Secretary of State - a government authority operating within Rhode Island. As of today, no separate filing guidelines for the form are provided by the issuing department.

FAQ

Q: What is Form 651?
A: Form 651 is the Renewal Statement of Transparency and Sustainability Standards.

Q: What is the purpose of Form 651?
A: Form 651 is used to renew transparency and sustainability standards in Rhode Island.

Q: Who needs to file Form 651?
A: Businesses and organizations who have previously filed Form 650 and wish to renew their transparency and sustainability standards in Rhode Island.

Q: When is Form 651 due?
A: Form 651 is typically due on or before the last day of the organization's fiscal year.

Q: Is there a fee for filing Form 651?
A: Yes, there is a fee associated with filing Form 651. The fee amount may vary.

Q: Are there any penalties for not filing Form 651?
A: Failure to file Form 651 may result in penalties or the revocation of transparency and sustainability standards in Rhode Island.

Q: Is Form 651 only applicable to businesses in Rhode Island?
A: Yes, Form 651 is specific to businesses and organizations operating in Rhode Island.

Q: What information is required on Form 651?
A: Form 651 requires information such as the organization's name, contact information, and details about their transparency and sustainability standards.

ADVERTISEMENT

Form Details:

  • Released on August 1, 2020;
  • The latest edition provided by the Rhode Island Secretary of State;
  • Easy to use and ready to print;
  • Quick to customize;
  • Compatible with most PDF-viewing applications;
  • Fill out the form in our online filing application.

Download a fillable version of Form 651 by clicking the link below or browse more documents and templates provided by the Rhode Island Secretary of State.

Download Form 651 Renewal Statement of Transparency and Sustainability Standards - Rhode Island

4.4 of 5 (23 votes)
  • Form 651 Renewal Statement of Transparency and Sustainability Standards - Rhode Island

    1

  • Form 651 Renewal Statement of Transparency and Sustainability Standards - Rhode Island, Page 2

    2

  • Form 651 Renewal Statement of Transparency and Sustainability Standards - Rhode Island, Page 1
  • Form 651 Renewal Statement of Transparency and Sustainability Standards - Rhode Island, Page 2
Prev 1 2 Next
ADVERTISEMENT