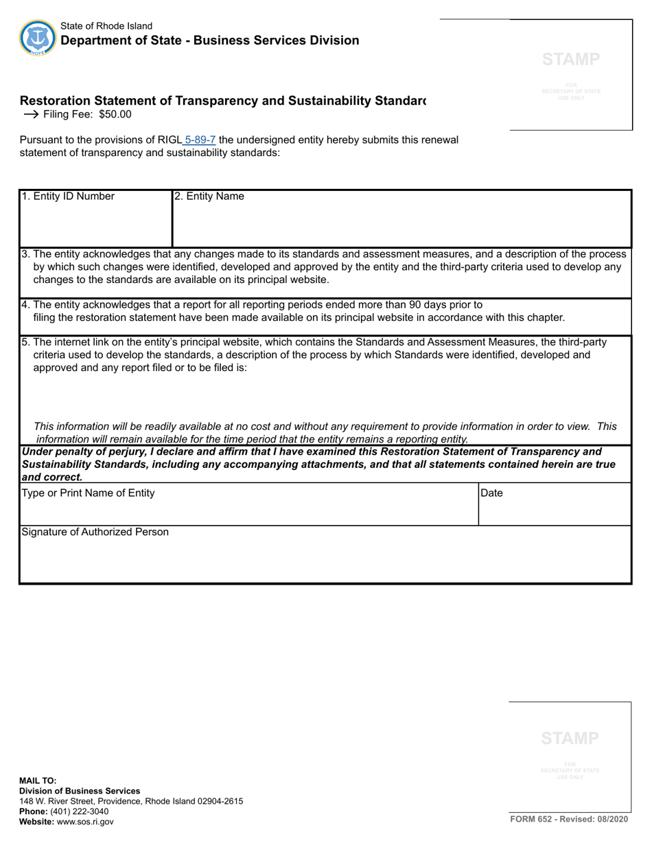
Form 652 Restoration Statement of Transparency and Sustainability Standards - Rhode Island

Notification Icon This version of the form is not currently in use and is provided for reference only. Download this version of Form 652 for the current year.

Form 652 Restoration Statement of Transparency and Sustainability Standards - Rhode Island

What Is Form 652?

This is a legal form that was released by the Rhode Island Secretary of State - a government authority operating within Rhode Island. As of today, no separate filing guidelines for the form are provided by the issuing department.

FAQ

Q: What is Form 652?
A: Form 652 is a Restoration Statement of Transparency and Sustainability Standards.

Q: What is the purpose of Form 652?
A: The purpose of Form 652 is to provide transparency and sustainability standards for restoration projects in Rhode Island.

Q: Who needs to file Form 652?
A: Anyone undertaking a restoration project in Rhode Island needs to file Form 652.

Q: What information is provided in Form 652?
A: Form 652 provides information about the transparency and sustainability standards that will be followed in the restoration project.

ADVERTISEMENT

Form Details:

  • Released on August 1, 2020;
  • The latest edition provided by the Rhode Island Secretary of State;
  • Easy to use and ready to print;
  • Quick to customize;
  • Compatible with most PDF-viewing applications;
  • Fill out the form in our online filing application.

Download a fillable version of Form 652 by clicking the link below or browse more documents and templates provided by the Rhode Island Secretary of State.

Download Form 652 Restoration Statement of Transparency and Sustainability Standards - Rhode Island

4.8 of 5 (8 votes)
  • Form 652 Restoration Statement of Transparency and Sustainability Standards - Rhode Island

    1

  • Form 652 Restoration Statement of Transparency and Sustainability Standards - Rhode Island, Page 2

    2

  • Form 652 Restoration Statement of Transparency and Sustainability Standards - Rhode Island, Page 1
  • Form 652 Restoration Statement of Transparency and Sustainability Standards - Rhode Island, Page 2
Prev 1 2 Next
ADVERTISEMENT