Form FDE-653-006 Funeral Director and Embalmer Academic Intern Registration Application - Washington

Notification Icon This version of the form is not currently in use and is provided for reference only. Download this version of Form FDE-653-006 for the current year.

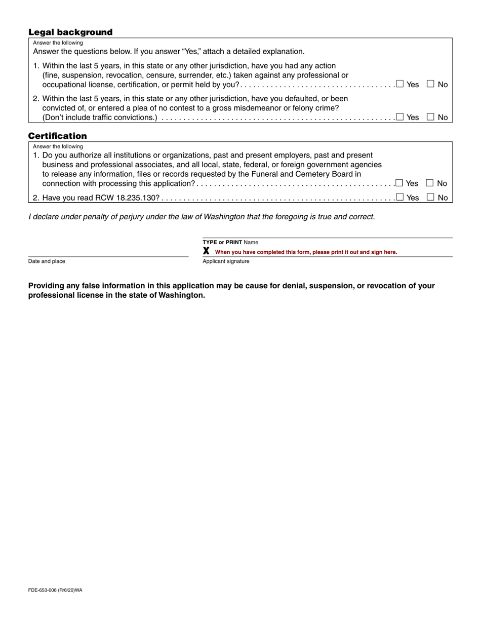
Form FDE-653-006 Funeral Director and Embalmer Academic Intern Registration Application - Washington

What Is Form FDE-653-006?

This is a legal form that was released by the Washington State Department of Licensing - a government authority operating within Washington. As of today, no separate filing guidelines for the form are provided by the issuing department.

FAQ

Q: What is the Form FDE-653-006?
A: Form FDE-653-006 is the Funeral Director and Embalmer Academic Intern Registration Application.

Q: Who needs to fill out this form?
A: This form needs to be filled out by individuals who are applying for registration as a Funeral Director and Embalmer Academic Intern in Washington.

Q: What is the purpose of this form?
A: The purpose of this form is to apply for registration as a Funeral Director and Embalmer Academic Intern in Washington.

Q: What information do I need to provide on this form?
A: You need to provide personal information, educational background, and internship details on this form.

Q: Is there a fee for submitting this application?
A: Yes, there is a fee associated with submitting this application. Please refer to the instructions on the form for the current fee amount.

Q: Are there any specific requirements for becoming a Funeral Director and Embalmer Academic Intern in Washington?
A: Yes, there are specific requirements that need to be met. Please review the instructions and guidelines provided on the form for detailed information.

Q: Who can I contact for more information about this form or the application process?
A: For more information about Form FDE-653-006 or the application process, you can contact the Washington State Department of Licensing's Funeral and Cemetery Program.

ADVERTISEMENT

Form Details:

  • Released on June 1, 2020;
  • The latest edition provided by the Washington State Department of Licensing;
  • Easy to use and ready to print;
  • Quick to customize;
  • Compatible with most PDF-viewing applications;
  • Fill out the form in our online filing application.

Download a fillable version of Form FDE-653-006 by clicking the link below or browse more documents and templates provided by the Washington State Department of Licensing.

Download Form FDE-653-006 Funeral Director and Embalmer Academic Intern Registration Application - Washington

4.5 of 5 (10 votes)
  • Form FDE-653-006 Funeral Director and Embalmer Academic Intern Registration Application - Washington

    1

  • Form FDE-653-006 Funeral Director and Embalmer Academic Intern Registration Application - Washington, Page 2

    2

  • Form FDE-653-006 Funeral Director and Embalmer Academic Intern Registration Application - Washington, Page 1
  • Form FDE-653-006 Funeral Director and Embalmer Academic Intern Registration Application - Washington, Page 2
Prev 1 2 Next
ADVERTISEMENT