Form SOC812B Abatements Not Processed Through the Ca 800 Claim - California

Form SOC812B Abatements Not Processed Through the Ca 800 Claim - California

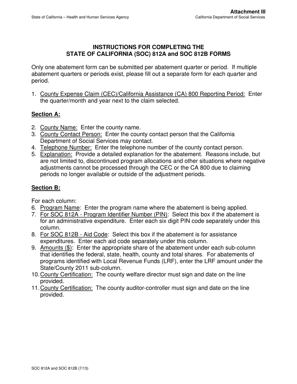
What Is Form SOC812B?

This is a legal form that was released by the California Department of Social Services - a government authority operating within California. As of today, no separate filing guidelines for the form are provided by the issuing department.

FAQ

Q: What is Form SOC812B?
A: Form SOC812B is a form used for abatements that are not processed through the Ca 800 Claim in California.

Q: What is an abatement?
A: An abatement is a reduction or elimination of a penalty or tax owed.

Q: What is the Ca 800 Claim?
A: The Ca 800 Claim is a claim form used in California to request a refund or credit for taxes paid.

Q: When would I use Form SOC812B?
A: You would use Form SOC812B when you want to request an abatement that is not related to the Ca 800 Claim process.

ADVERTISEMENT

Form Details:

  • Released on July 1, 2013;
  • The latest edition provided by the California Department of Social Services;
  • Easy to use and ready to print;
  • Quick to customize;
  • Compatible with most PDF-viewing applications;
  • Fill out the form in our online filing application.

Download a fillable version of Form SOC812B by clicking the link below or browse more documents and templates provided by the California Department of Social Services.

Download Form SOC812B Abatements Not Processed Through the Ca 800 Claim - California

4.3 of 5 (25 votes)
  • Form SOC812B Abatements Not Processed Through the Ca 800 Claim - California

    1

  • Form SOC812B Abatements Not Processed Through the Ca 800 Claim - California, Page 2

    2

  • Form SOC812B Abatements Not Processed Through the Ca 800 Claim - California, Page 1
  • Form SOC812B Abatements Not Processed Through the Ca 800 Claim - California, Page 2
Prev 1 2 Next
ADVERTISEMENT