Form 352 Certificate of Amendment to Application for Registration of a Foreign Limited Partnership - Rhode Island

Notification Icon This version of the form is not currently in use and is provided for reference only. Download this version of Form 352 for the current year.

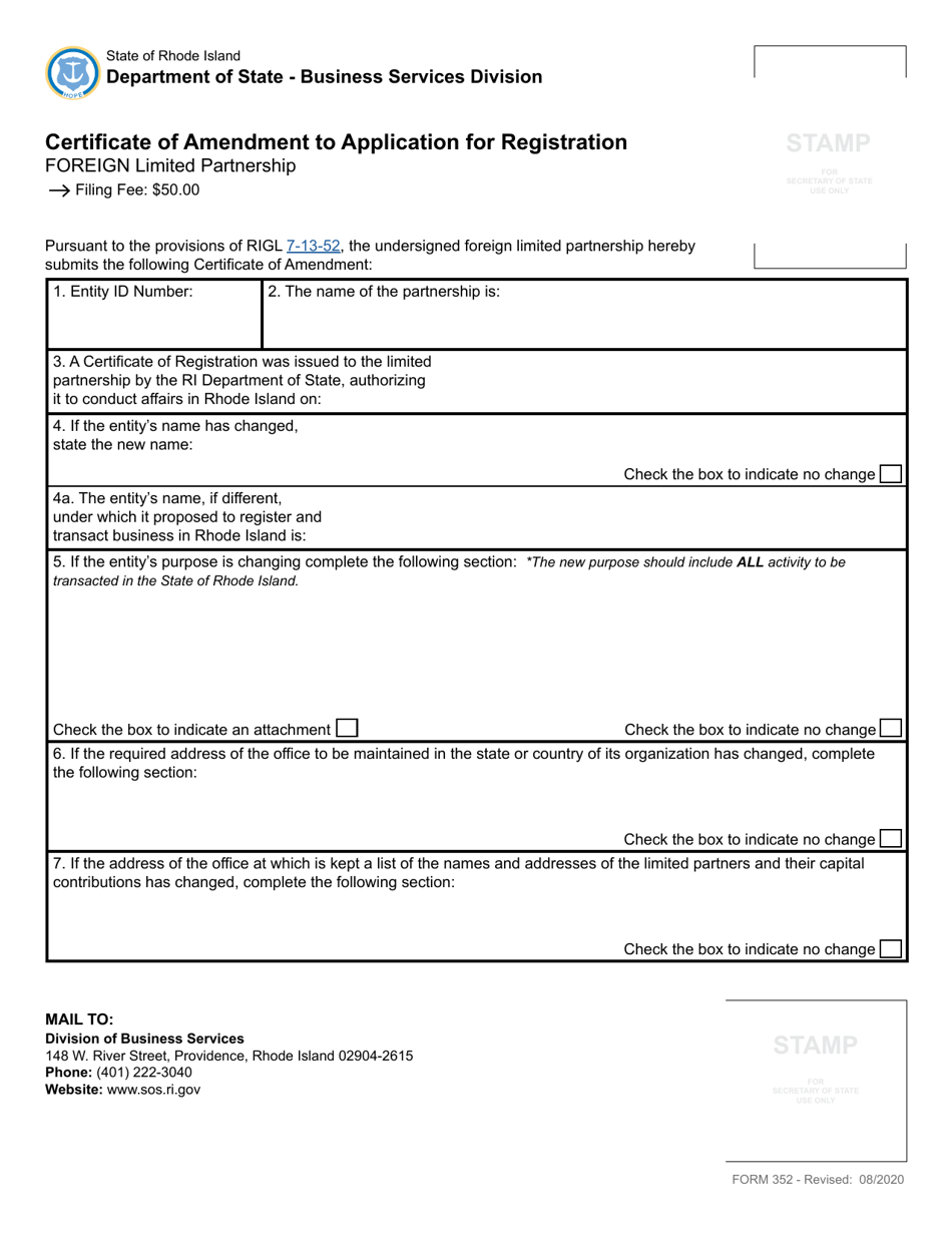
Form 352 Certificate of Amendment to Application for Registration of a Foreign Limited Partnership - Rhode Island

What Is Form 352?

This is a legal form that was released by the Rhode Island Secretary of State - a government authority operating within Rhode Island. As of today, no separate filing guidelines for the form are provided by the issuing department.

FAQ

Q: What is Form 352?
A: Form 352 is the Certificate of Amendment to Application for Registration of a Foreign Limited Partnership in Rhode Island.

Q: What is a Foreign Limited Partnership?
A: A Foreign Limited Partnership is a business entity organized under the laws of another state or country.

Q: When is Form 352 used?
A: Form 352 is used when a Foreign Limited Partnership wants to make amendments or changes to their application for registration in Rhode Island.

Q: What information is required in Form 352?
A: Form 352 requires the name of the Foreign Limited Partnership, the changes being made, and the signature of a general partner.

Q: Are there any other supporting documents required with Form 352?
A: No, there are no specific supporting documents required with Form 352.

Q: What is the deadline for filing Form 352?
A: There is no specific deadline for filing Form 352, but it should be filed as soon as possible after the changes are made.

ADVERTISEMENT

Form Details:

  • Released on August 1, 2020;
  • The latest edition provided by the Rhode Island Secretary of State;
  • Easy to use and ready to print;
  • Quick to customize;
  • Compatible with most PDF-viewing applications;
  • Fill out the form in our online filing application.

Download a fillable version of Form 352 by clicking the link below or browse more documents and templates provided by the Rhode Island Secretary of State.

Download Form 352 Certificate of Amendment to Application for Registration of a Foreign Limited Partnership - Rhode Island

4.8 of 5 (14 votes)
  • Form 352 Certificate of Amendment to Application for Registration of a Foreign Limited Partnership - Rhode Island

    1

  • Form 352 Certificate of Amendment to Application for Registration of a Foreign Limited Partnership - Rhode Island, Page 2

    2

  • Form 352 Certificate of Amendment to Application for Registration of a Foreign Limited Partnership - Rhode Island, Page 3

    3

  • Form 352 Certificate of Amendment to Application for Registration of a Foreign Limited Partnership - Rhode Island, Page 4

    4

  • Form 352 Certificate of Amendment to Application for Registration of a Foreign Limited Partnership - Rhode Island, Page 1
  • Form 352 Certificate of Amendment to Application for Registration of a Foreign Limited Partnership - Rhode Island, Page 2
  • Form 352 Certificate of Amendment to Application for Registration of a Foreign Limited Partnership - Rhode Island, Page 3
  • Form 352 Certificate of Amendment to Application for Registration of a Foreign Limited Partnership - Rhode Island, Page 4
Prev 1 2 3 4 Next
ADVERTISEMENT