Form MP430 Findings, Conclusions, and Order Authorizing Administration of Anti-psychotic Medications - Washington

Form MP430 Findings, Conclusions, and Order Authorizing Administration of Anti-psychotic Medications - Washington

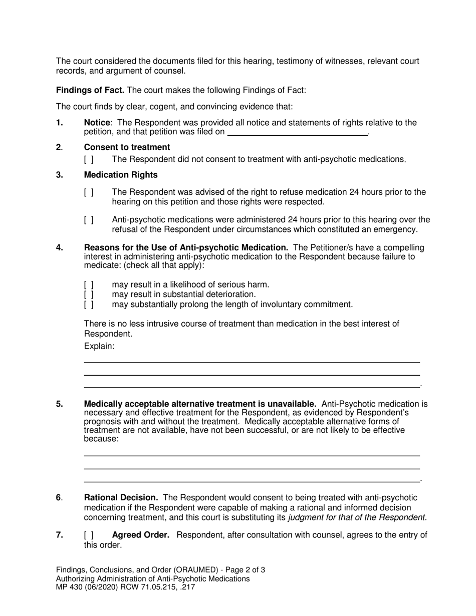
What Is Form MP430?

This is a legal form that was released by the Washington Superior Court - a government authority operating within Washington. As of today, no separate filing guidelines for the form are provided by the issuing department.

FAQ

Q: What is the MP430 form?
A: The MP430 form is a document that contains the findings, conclusions, and orders regarding the administration of anti-psychotic medications.

Q: What does the MP430 form authorize?
A: The MP430 form authorizes the administration of anti-psychotic medications.

Q: Who can administer anti-psychotic medications based on the MP430 form?
A: Authorized healthcare professionals can administer anti-psychotic medications based on the MP430 form.

Q: What does the MP430 form include?
A: The MP430 form includes findings, conclusions, and an order authorizing the administration of anti-psychotic medications.

ADVERTISEMENT

Form Details:

  • Released on June 1, 2020;
  • The latest edition provided by the Washington Superior Court;
  • Easy to use and ready to print;
  • Quick to customize;
  • Compatible with most PDF-viewing applications;
  • Fill out the form in our online filing application.

Download a printable version of Form MP430 by clicking the link below or browse more documents and templates provided by the Washington Superior Court.

Download Form MP430 Findings, Conclusions, and Order Authorizing Administration of Anti-psychotic Medications - Washington

4.6 of 5 (14 votes)
  • Form MP430 Findings, Conclusions, and Order Authorizing Administration of Anti-psychotic Medications - Washington

    1

  • Form MP430 Findings, Conclusions, and Order Authorizing Administration of Anti-psychotic Medications - Washington, Page 2

    2

  • Form MP430 Findings, Conclusions, and Order Authorizing Administration of Anti-psychotic Medications - Washington, Page 3

    3

  • Form MP430 Findings, Conclusions, and Order Authorizing Administration of Anti-psychotic Medications - Washington, Page 1
  • Form MP430 Findings, Conclusions, and Order Authorizing Administration of Anti-psychotic Medications - Washington, Page 2
  • Form MP430 Findings, Conclusions, and Order Authorizing Administration of Anti-psychotic Medications - Washington, Page 3
Prev 1 2 3 Next
ADVERTISEMENT

Related Documents