Form DOC02-361 Reentry Conditions - Washington

Notification Icon This version of the form is not currently in use and is provided for reference only. Download this version of Form DOC02-361 for the current year.

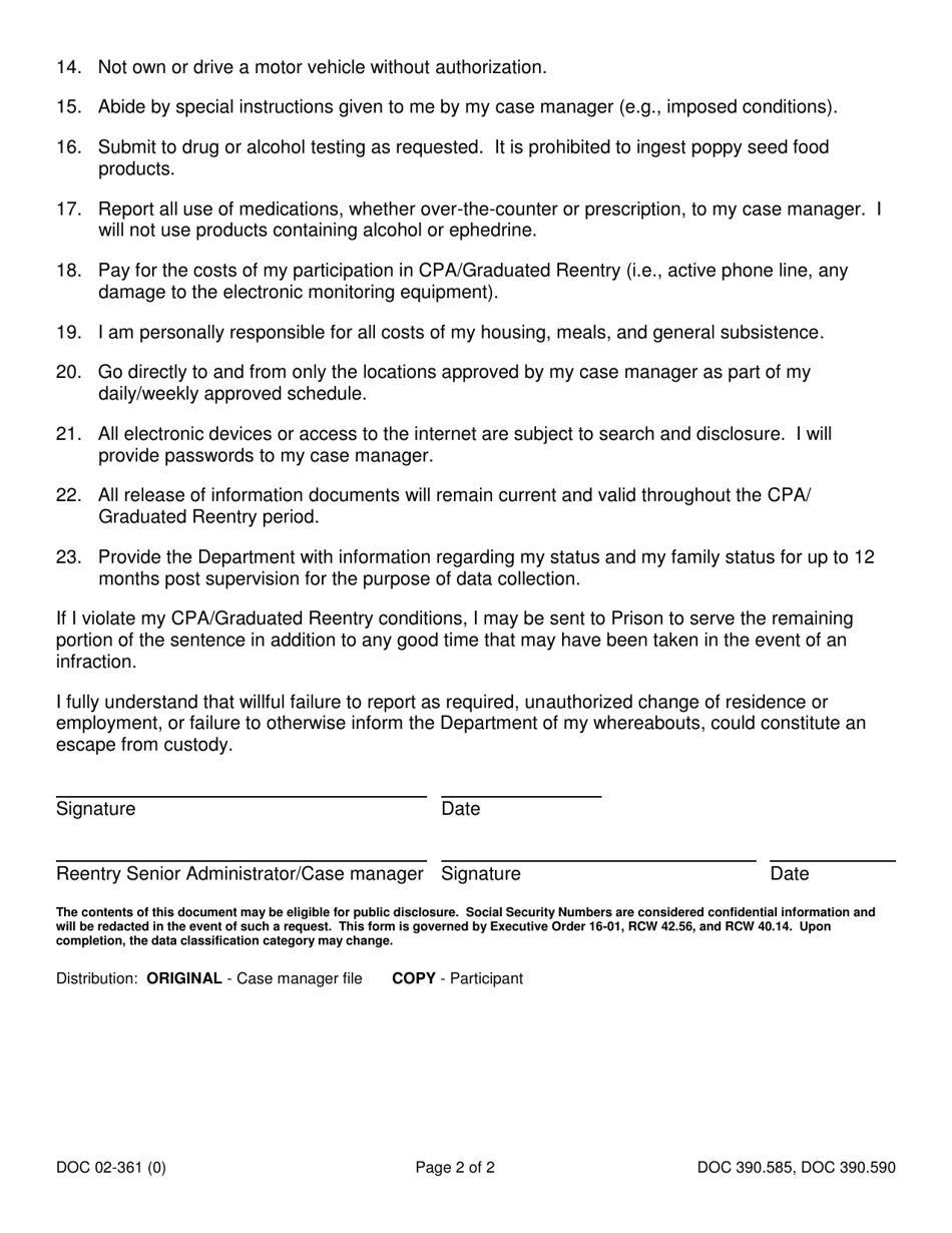
Form DOC02-361 Reentry Conditions - Washington

What Is Form DOC02-361?

This is a legal form that was released by the Washington State Department of Corrections - a government authority operating within Washington. As of today, no separate filing guidelines for the form are provided by the issuing department.

FAQ

Q: What is Form DOC02-361?
A: Form DOC02-361 is a document that outlines the reentry conditions for individuals in Washington.

Q: What are reentry conditions?
A: Reentry conditions refer to the terms and requirements that individuals must follow when returning to their communities after being incarcerated.

Q: Who does Form DOC02-361 apply to?
A: Form DOC02-361 applies to individuals who have been incarcerated in Washington and are seeking to reintegrate into their communities.

Q: What information does Form DOC02-361 include?
A: Form DOC02-361 includes information about the restrictions, obligations, and expectations that individuals must comply with upon reentry.

Q: How can I access Form DOC02-361?
A: Form DOC02-361 can typically be obtained through the Washington Department of Corrections or the facility where the individual was incarcerated.

ADVERTISEMENT

Form Details:

  • Released on July 28, 2020;
  • The latest edition provided by the Washington State Department of Corrections;
  • Easy to use and ready to print;
  • Quick to customize;
  • Compatible with most PDF-viewing applications;
  • Fill out the form in our online filing application.

Download a printable version of Form DOC02-361 by clicking the link below or browse more documents and templates provided by the Washington State Department of Corrections.

Download Form DOC02-361 Reentry Conditions - Washington

4.6 of 5 (32 votes)
  • Form DOC02-361 Reentry Conditions - Washington

    1

  • Form DOC02-361 Reentry Conditions - Washington, Page 2

    2

  • Form DOC02-361 Reentry Conditions - Washington, Page 1
  • Form DOC02-361 Reentry Conditions - Washington, Page 2
Prev 1 2 Next
ADVERTISEMENT