Form UD-101 Plaintiff's Mandatory Cover Sheet and Supplemental Allegations - Unlawful Detainer - California

Notification Icon This version of the form is not currently in use and is provided for reference only. Download this version of Form UD-101 for the current year.

Form UD-101 Plaintiff's Mandatory Cover Sheet and Supplemental Allegations - Unlawful Detainer - California

What Is Form UD-101?

This is a legal form that was released by the California Superior Court - a government authority operating within California. As of today, no separate filing guidelines for the form are provided by the issuing department.

FAQ

Q: What is Form UD-101?
A: Form UD-101 is the Plaintiff's Mandatory Cover Sheet and Supplemental Allegations.

Q: What is the purpose of Form UD-101?
A: Form UD-101 is used in the state of California for unlawful detainer cases to provide information about the plaintiff and their allegations.

Q: What information is required on Form UD-101?
A: Form UD-101 requires information about the plaintiff, such as their name and address, as well as supplemental allegations related to the unlawful detainer case.

Q: Is Form UD-101 mandatory?
A: Yes, Form UD-101 is mandatory for plaintiffs filing an unlawful detainer case in California.

ADVERTISEMENT

Form Details:

  • Released on October 5, 2020;
  • The latest edition provided by the California Superior Court;
  • Easy to use and ready to print;
  • Available in Spanish;
  • Quick to customize;
  • Compatible with most PDF-viewing applications;
  • Fill out the form in our online filing application.

Download a fillable version of Form UD-101 by clicking the link below or browse more documents and templates provided by the California Superior Court.

Download Form UD-101 Plaintiff's Mandatory Cover Sheet and Supplemental Allegations - Unlawful Detainer - California

4.4 of 5 (12 votes)
  • Form UD-101 Plaintiff's Mandatory Cover Sheet and Supplemental Allegations - Unlawful Detainer - California

    1

  • Form UD-101 Plaintiff's Mandatory Cover Sheet and Supplemental Allegations - Unlawful Detainer - California, Page 2

    2

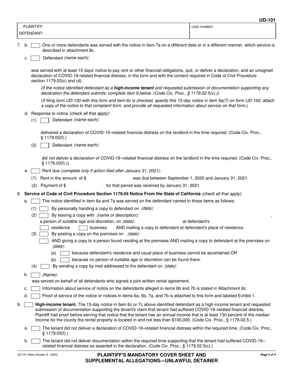
  • Form UD-101 Plaintiff's Mandatory Cover Sheet and Supplemental Allegations - Unlawful Detainer - California, Page 3

    3

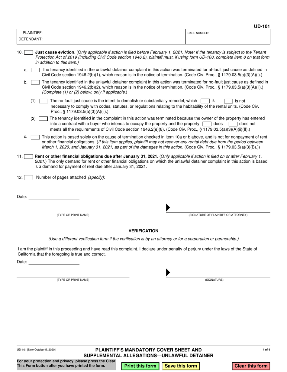
  • Form UD-101 Plaintiff's Mandatory Cover Sheet and Supplemental Allegations - Unlawful Detainer - California, Page 4

    4

  • Form UD-101 Plaintiffs Mandatory Cover Sheet and Supplemental Allegations - Unlawful Detainer - California, Page 1
  • Form UD-101 Plaintiffs Mandatory Cover Sheet and Supplemental Allegations - Unlawful Detainer - California, Page 2
  • Form UD-101 Plaintiffs Mandatory Cover Sheet and Supplemental Allegations - Unlawful Detainer - California, Page 3
  • Form UD-101 Plaintiffs Mandatory Cover Sheet and Supplemental Allegations - Unlawful Detainer - California, Page 4
Prev 1 2 3 4 Next
ADVERTISEMENT