Form PM-0041 Personal Use of State Vehicle One-Way Commuting and / or Round Trip - California

Notification Icon This version of the form is not currently in use and is provided for reference only. Download this version of Form PM-0041 for the current year.

Form PM-0041 Personal Use of State Vehicle One-Way Commuting and / or Round Trip - California

What Is Form PM-0041?

This is a legal form that was released by the California Department of Transportation - a government authority operating within California. As of today, no separate filing guidelines for the form are provided by the issuing department.

FAQ

Q: What is Form PM-0041?
A: Form PM-0041 is a document related to personal use of state vehicle for commuting.

Q: What does the form cover?
A: The form covers one-way commuting and/or round trip usage of state vehicles in California.

Q: Who should use Form PM-0041?
A: Form PM-0041 should be used by individuals who have permission to use state vehicles for commuting purposes.

Q: Is personal use of state vehicles allowed?
A: Yes, personal use of state vehicles is allowed for commuting purposes.

Q: Do I need to fill out Form PM-0041 for personal use of state vehicle?
A: Yes, you need to fill out Form PM-0041 if you use a state vehicle for commuting.

ADVERTISEMENT

Form Details:

  • Released on September 1, 2013;
  • The latest edition provided by the California Department of Transportation;
  • Easy to use and ready to print;
  • Quick to customize;
  • Compatible with most PDF-viewing applications;
  • Fill out the form in our online filing application.

Download a fillable version of Form PM-0041 by clicking the link below or browse more documents and templates provided by the California Department of Transportation.

Download Form PM-0041 Personal Use of State Vehicle One-Way Commuting and / or Round Trip - California

4.6 of 5 (22 votes)
  • Form PM-0041 Personal Use of State Vehicle One-Way Commuting and/or Round Trip - California

    1

  • Form PM-0041 Personal Use of State Vehicle One-Way Commuting and/or Round Trip - California, Page 2

    2

  • Form PM-0041 Personal Use of State Vehicle One-Way Commuting and/or Round Trip - California, Page 3

    3

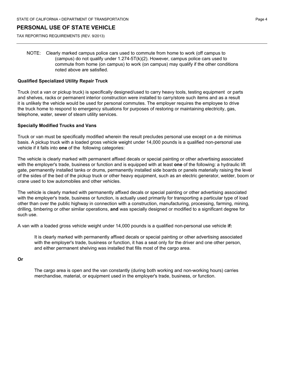
  • Form PM-0041 Personal Use of State Vehicle One-Way Commuting and/or Round Trip - California, Page 4

    4

  • Form PM-0041 Personal Use of State Vehicle One-Way Commuting and/or Round Trip - California, Page 5

    5

  • Form PM-0041 Personal Use of State Vehicle One-Way Commuting and/or Round Trip - California, Page 6

    6

  • Form PM-0041 Personal Use of State Vehicle One-Way Commuting and/or Round Trip - California, Page 7

    7

  • Form PM-0041 Personal Use of State Vehicle One-Way Commuting and / or Round Trip - California, Page 1
  • Form PM-0041 Personal Use of State Vehicle One-Way Commuting and / or Round Trip - California, Page 2
  • Form PM-0041 Personal Use of State Vehicle One-Way Commuting and / or Round Trip - California, Page 3
  • Form PM-0041 Personal Use of State Vehicle One-Way Commuting and / or Round Trip - California, Page 4
  • Form PM-0041 Personal Use of State Vehicle One-Way Commuting and / or Round Trip - California, Page 5
  • Form PM-0041 Personal Use of State Vehicle One-Way Commuting and / or Round Trip - California, Page 6
  • Form PM-0041 Personal Use of State Vehicle One-Way Commuting and / or Round Trip - California, Page 7
Prev 1 2 3 4 5 ... 7 Next
ADVERTISEMENT