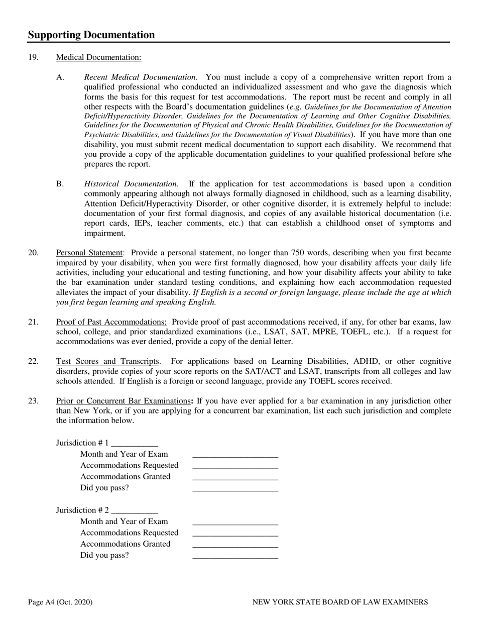
Application for Non-standard Test Accommodations (Nta) - New York

Notification Icon This version of the form is not currently in use and is provided for reference only. Download this version of the document for the current year.

Application for Non-standard Test Accommodations (Nta) - New York

Application for Non-standard Test Accommodations (Nta) is a legal document that was released by the New York State Board of Law Examiners - a government authority operating within New York.

FAQ

Q: What is the Non-standard Test Accommodations (NTA) application?
A: The NTA application is for requesting special accommodations for tests in New York.

Q: Who can apply for Non-standard Test Accommodations?
A: Any individual with a disability can apply for NTA.

Q: What type of disabilities are eligible for Non-standard Test Accommodations?
A: Any type of disability can be eligible for NTA, as long as it affects the individual's test-taking abilities.

Q: What kind of accommodations can be requested through the NTA application?
A: Accommodations such as extra time, alternative formats, and assistive technology can be requested.

Q: How can I apply for Non-standard Test Accommodations?
A: You can apply for NTA by completing the application form and submitting it to the appropriate authority.

Q: How long does it take to receive a decision on the NTA application?
A: The time to receive a decision on the NTA application can vary, but it is generally recommended to apply well in advance of the test date.

Q: What should I do if my NTA application is denied?
A: If your NTA application is denied, you may have the option to appeal the decision or seek further assistance from disability support services.

ADVERTISEMENT

Form Details:

  • Released on October 1, 2020;
  • The latest edition currently provided by the New York State Board of Law Examiners;
  • Ready to use and print;
  • Easy to customize;
  • Compatible with most PDF-viewing applications;
  • Fill out the form in our online filing application.

Download a fillable version of the form by clicking the link below or browse more documents and templates provided by the New York State Board of Law Examiners.

Download Application for Non-standard Test Accommodations (Nta) - New York

4.5 of 5 (34 votes)
  • Application for Non-standard Test Accommodations (Nta) - New York

    1

  • Application for Non-standard Test Accommodations (Nta) - New York, Page 2

    2

  • Application for Non-standard Test Accommodations (Nta) - New York, Page 3

    3

  • Application for Non-standard Test Accommodations (Nta) - New York, Page 4

    4

  • Application for Non-standard Test Accommodations (Nta) - New York, Page 5

    5

  • Application for Non-standard Test Accommodations (Nta) - New York, Page 6

    6

  • Application for Non-standard Test Accommodations (Nta) - New York, Page 7

    7

  • Application for Non-standard Test Accommodations (Nta) - New York, Page 8

    8

  • Application for Non-standard Test Accommodations (Nta) - New York, Page 1
  • Application for Non-standard Test Accommodations (Nta) - New York, Page 2
  • Application for Non-standard Test Accommodations (Nta) - New York, Page 3
  • Application for Non-standard Test Accommodations (Nta) - New York, Page 4
  • Application for Non-standard Test Accommodations (Nta) - New York, Page 5
  • Application for Non-standard Test Accommodations (Nta) - New York, Page 6
  • Application for Non-standard Test Accommodations (Nta) - New York, Page 7
  • Application for Non-standard Test Accommodations (Nta) - New York, Page 8
Prev 1 2 3 4 5 ... 8 Next
ADVERTISEMENT