Form CC62 First Aid and Disaster Kit Checklist - Alaska

Form CC62 First Aid and Disaster Kit Checklist - Alaska

What Is Form CC62?

This is a legal form that was released by the Alaska Department of Health and Social Services - a government authority operating within Alaska. As of today, no separate filing guidelines for the form are provided by the issuing department.

FAQ

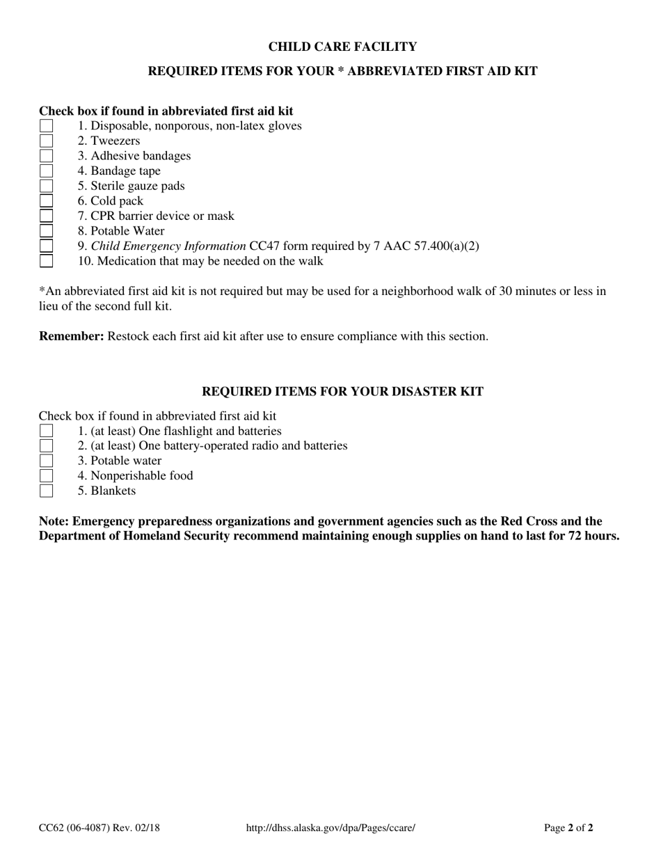
Q: What is Form CC62?
A: Form CC62 is a First Aid and Disaster Kit Checklist specific to Alaska.

Q: What does Form CC62 include?
A: Form CC62 includes a checklist of essential items for a First Aid and Disaster Kit.

Q: Why is a First Aid kit important?
A: A First Aid kit is important for providing immediate medical assistance in case of an injury or emergency.

Q: What is a Disaster Kit?
A: A Disaster Kit is a collection of supplies and equipment that can help individuals and families cope with the aftermath of a disaster.

Q: Why is it important to have a Disaster Kit?
A: Having a Disaster Kit is important because it can provide necessary resources during a disaster when access to basic amenities may be limited.

Q: Is Form CC62 specific to Alaska?
A: Yes, Form CC62 is specific to Alaska and is designed to meet the unique needs of the state.

ADVERTISEMENT

Form Details:

  • Released on February 1, 2018;
  • The latest edition provided by the Alaska Department of Health and Social Services;
  • Easy to use and ready to print;
  • Quick to customize;
  • Compatible with most PDF-viewing applications;
  • Fill out the form in our online filing application.

Download a printable version of Form CC62 by clicking the link below or browse more documents and templates provided by the Alaska Department of Health and Social Services.

Download Form CC62 First Aid and Disaster Kit Checklist - Alaska

4.7 of 5 (17 votes)
  • Form CC62 First Aid and Disaster Kit Checklist - Alaska

    1

  • Form CC62 First Aid and Disaster Kit Checklist - Alaska, Page 2

    2

  • Form CC62 First Aid and Disaster Kit Checklist - Alaska, Page 1
  • Form CC62 First Aid and Disaster Kit Checklist - Alaska, Page 2
Prev 1 2 Next
ADVERTISEMENT