Agreement to Amend Appendix F(1) and Appendix F(2) Between the Indian Community and the State of Arizona - Arizona

Agreement to Amend Appendix F(1) and Appendix F(2) Between the Indian Community and the State of Arizona - Arizona

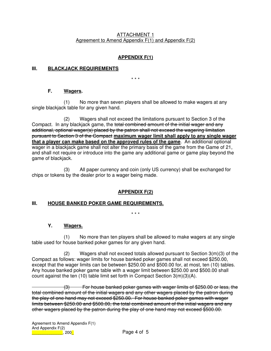
Agreement to Amend Appendix F(1) and Appendix F(2) Between the Indian Community and the State of Arizona is a legal document that was released by the Arizona Department of Gaming - a government authority operating within Arizona.

FAQ

Q: What is Appendix F(1) and Appendix F(2)?
A: Appendix F(1) and Appendix F(2) are parts of an agreement between the Indian Community and the State of Arizona.

Q: What is the purpose of the agreement?
A: The purpose of the agreement is to amend Appendix F(1) and Appendix F(2).

Q: Who are the parties involved in the agreement?
A: The parties involved in the agreement are the Indian Community and the State of Arizona.

Q: What does the agreement amend?
A: The agreement amends Appendix F(1) and Appendix F(2).

Q: What state is this agreement for?
A: This agreement is for the state of Arizona.

ADVERTISEMENT

Form Details:

  • The latest edition currently provided by the Arizona Department of Gaming;
  • Ready to use and print;
  • Easy to customize;
  • Compatible with most PDF-viewing applications;
  • Fill out the form in our online filing application.

Download a printable version of the form by clicking the link below or browse more documents and templates provided by the Arizona Department of Gaming.

Download Agreement to Amend Appendix F(1) and Appendix F(2) Between the Indian Community and the State of Arizona - Arizona

4.3 of 5 (11 votes)
  • Agreement to Amend Appendix F(1) and Appendix F(2) Between the Indian Community and the State of Arizona - Arizona

    1

  • Agreement to Amend Appendix F(1) and Appendix F(2) Between the Indian Community and the State of Arizona - Arizona, Page 2

    2

  • Agreement to Amend Appendix F(1) and Appendix F(2) Between the Indian Community and the State of Arizona - Arizona, Page 3

    3

  • Agreement to Amend Appendix F(1) and Appendix F(2) Between the Indian Community and the State of Arizona - Arizona, Page 4

    4

  • Agreement to Amend Appendix F(1) and Appendix F(2) Between the Indian Community and the State of Arizona - Arizona, Page 5

    5

  • Agreement to Amend Appendix F(1) and Appendix F(2) Between the Indian Community and the State of Arizona - Arizona, Page 1
  • Agreement to Amend Appendix F(1) and Appendix F(2) Between the Indian Community and the State of Arizona - Arizona, Page 2
  • Agreement to Amend Appendix F(1) and Appendix F(2) Between the Indian Community and the State of Arizona - Arizona, Page 3
  • Agreement to Amend Appendix F(1) and Appendix F(2) Between the Indian Community and the State of Arizona - Arizona, Page 4
  • Agreement to Amend Appendix F(1) and Appendix F(2) Between the Indian Community and the State of Arizona - Arizona, Page 5
Prev 1 2 3 4 5 Next
ADVERTISEMENT

Related Documents