Instructions for USCIS Form I-765V Application for Employment Authorization for Abused Nonimmigrant Spouse

Notification Icon This version of the form is not currently in use and is provided for reference only. Download this version of Instructions for USCIS Form I-765V for the current year.

Instructions for USCIS Form I-765V Application for Employment Authorization for Abused Nonimmigrant Spouse

This document contains official instructions for USCIS Form I-765V , Application for Employment Authorization for Abused Nonimmigrant Spouse - a form released and collected by the U.S. Department of Homeland Security - Citizenship and Immigration Services. An up-to-date fillable USCIS Form I-765V is available for download through this link.

FAQ

Q: Who is Form I-765V intended for?
A: Form I-765V is intended for Abused Nonimmigrant Spouses who want to apply for employment authorization.

Q: What is the purpose of Form I-765V?
A: The purpose of Form I-765V is to request employment authorization as an Abused Nonimmigrant Spouse.

Q: What is an Abused Nonimmigrant Spouse?
A: An Abused Nonimmigrant Spouse is an individual who is married to a U.S. citizen or lawful permanent resident, but is in the U.S. in a nonimmigrant visa status and has been subjected to abuse or extreme cruelty by their spouse.

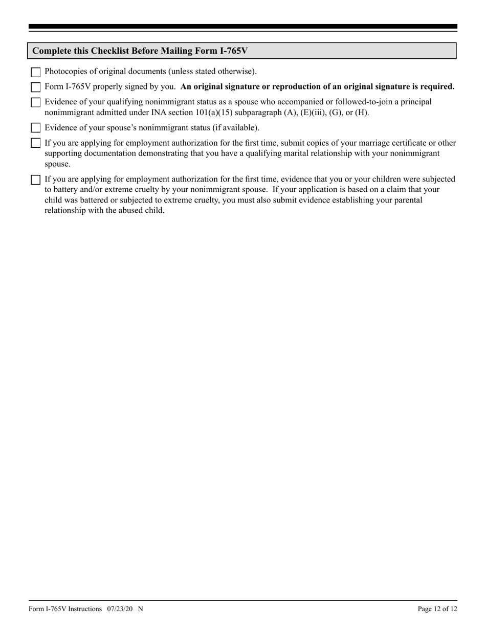
Q: What documents are required to submit with Form I-765V?
A: You will need to submit evidence of your marriage, evidence of abuse or extreme cruelty, and any other supporting documents that may be required.

Q: Can I include my children on the same application?
A: No, you must file a separate Form I-765V application for each eligible child, if applicable.

Q: Can I apply for employment authorization while I wait for a decision on Form I-765V?
A: Yes, you can apply for employment authorization while your Form I-765V is pending. You will need to submit a separate Form I-765 with the appropriate filing fee.

Q: Can I apply for a fee waiver for Form I-765V?
A: No, fee waivers are not available for Form I-765V. However, if you cannot afford the filing fee, you may be eligible for a fee exemption.

ADVERTISEMENT

Instruction Details:

  • This 12-page document is available for download in PDF;
  • Actual and applicable for the current year;
  • Complete, printable, and free.

Download your copy of the instructions by clicking the link below or browse hundreds of other forms in our library of forms released by the U.S. Department of Homeland Security - Citizenship and Immigration Services.

Download Instructions for USCIS Form I-765V Application for Employment Authorization for Abused Nonimmigrant Spouse

4.6 of 5 (9 votes)
  • Instructions for USCIS Form I-765V Application for Employment Authorization for Abused Nonimmigrant Spouse

    1

  • Instructions for USCIS Form I-765V Application for Employment Authorization for Abused Nonimmigrant Spouse, Page 2

    2

  • Instructions for USCIS Form I-765V Application for Employment Authorization for Abused Nonimmigrant Spouse, Page 3

    3

  • Instructions for USCIS Form I-765V Application for Employment Authorization for Abused Nonimmigrant Spouse, Page 4

    4

  • Instructions for USCIS Form I-765V Application for Employment Authorization for Abused Nonimmigrant Spouse, Page 5

    5

  • Instructions for USCIS Form I-765V Application for Employment Authorization for Abused Nonimmigrant Spouse, Page 6

    6

  • Instructions for USCIS Form I-765V Application for Employment Authorization for Abused Nonimmigrant Spouse, Page 7

    7

  • Instructions for USCIS Form I-765V Application for Employment Authorization for Abused Nonimmigrant Spouse, Page 8

    8

  • Instructions for USCIS Form I-765V Application for Employment Authorization for Abused Nonimmigrant Spouse, Page 9

    9

  • Instructions for USCIS Form I-765V Application for Employment Authorization for Abused Nonimmigrant Spouse, Page 10

    10

  • Instructions for USCIS Form I-765V Application for Employment Authorization for Abused Nonimmigrant Spouse, Page 11

    11

  • Instructions for USCIS Form I-765V Application for Employment Authorization for Abused Nonimmigrant Spouse, Page 12

    12

  • Instructions for USCIS Form I-765V Application for Employment Authorization for Abused Nonimmigrant Spouse, Page 1
  • Instructions for USCIS Form I-765V Application for Employment Authorization for Abused Nonimmigrant Spouse, Page 2
  • Instructions for USCIS Form I-765V Application for Employment Authorization for Abused Nonimmigrant Spouse, Page 3
  • Instructions for USCIS Form I-765V Application for Employment Authorization for Abused Nonimmigrant Spouse, Page 4
  • Instructions for USCIS Form I-765V Application for Employment Authorization for Abused Nonimmigrant Spouse, Page 5
  • Instructions for USCIS Form I-765V Application for Employment Authorization for Abused Nonimmigrant Spouse, Page 6
  • Instructions for USCIS Form I-765V Application for Employment Authorization for Abused Nonimmigrant Spouse, Page 7
  • Instructions for USCIS Form I-765V Application for Employment Authorization for Abused Nonimmigrant Spouse, Page 8
  • Instructions for USCIS Form I-765V Application for Employment Authorization for Abused Nonimmigrant Spouse, Page 9
  • Instructions for USCIS Form I-765V Application for Employment Authorization for Abused Nonimmigrant Spouse, Page 10
  • Instructions for USCIS Form I-765V Application for Employment Authorization for Abused Nonimmigrant Spouse, Page 11
  • Instructions for USCIS Form I-765V Application for Employment Authorization for Abused Nonimmigrant Spouse, Page 12
Prev 1 2 3 4 5 ... 12 Next
ADVERTISEMENT