SEC Form 1815 (6-K) Report of Foreign Private Issuer Pursuant to Rule 13a-16 or 15d-16 Under the Securities Exchange Act of 1934

Notification Icon This version of the form is not currently in use and is provided for reference only. Download this version of SEC Form 1815 (6-K) for the current year.

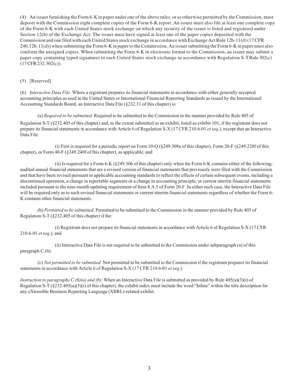
SEC Form 1815 (6-K) Report of Foreign Private Issuer Pursuant to Rule 13a-16 or 15d-16 Under the Securities Exchange Act of 1934

What Is SEC Form 1815 (6-K)?

This is a legal form that was released by the U.S. Securities and Exchange Commission on September 1, 2018 and used country-wide. As of today, no separate filing guidelines for the form are provided by the issuing department.

FAQ

Q: What is SEC Form 1815?
A: SEC Form 1815 is a report filed by a foreign private issuer.

Q: What is the purpose of SEC Form 1815?
A: The purpose of SEC Form 1815 is to report information required by Rule 13a-16 or 15d-16 of the Securities Exchange Act of 1934.

Q: Who is required to file SEC Form 1815?
A: Foreign private issuers are required to file SEC Form 1815.

Q: What information is included in SEC Form 1815?
A: SEC Form 1815 includes information required by Rule 13a-16 or 15d-16, such as financial statements and other disclosures.

Q: What is the Securities Exchange Act of 1934?
A: The Securities Exchange Act of 1934 is a federal law that regulates the securities industry in the United States.

Q: What are Rule 13a-16 and Rule 15d-16?
A: Rule 13a-16 and Rule 15d-16 are rules under the Securities Exchange Act of 1934 that require certain reporting by issuers.

Q: What happens if a foreign private issuer fails to file SEC Form 1815?
A: Failure to file SEC Form 1815 may result in penalties or sanctions imposed by the SEC.

ADVERTISEMENT

Form Details:

  • Released on September 1, 2018;
  • The latest available edition released by the U.S. Securities and Exchange Commission;
  • Easy to use and ready to print;
  • Yours to fill out and keep for your records;
  • Compatible with most PDF-viewing applications;
  • Fill out the form in our online filing application.

Download a printable version of SEC Form 1815 (6-K) by clicking the link below or browse more documents and templates provided by the U.S. Securities and Exchange Commission.

Download SEC Form 1815 (6-K) Report of Foreign Private Issuer Pursuant to Rule 13a-16 or 15d-16 Under the Securities Exchange Act of 1934

4.5 of 5 (27 votes)
  • SEC Form 1815 (6-K) Report of Foreign Private Issuer Pursuant to Rule 13a-16 or 15d-16 Under the Securities Exchange Act of 1934

    1

  • SEC Form 1815 (6-K) Report of Foreign Private Issuer Pursuant to Rule 13a-16 or 15d-16 Under the Securities Exchange Act of 1934, Page 2

    2

  • SEC Form 1815 (6-K) Report of Foreign Private Issuer Pursuant to Rule 13a-16 or 15d-16 Under the Securities Exchange Act of 1934, Page 3

    3

  • SEC Form 1815 (6-K) Report of Foreign Private Issuer Pursuant to Rule 13a-16 or 15d-16 Under the Securities Exchange Act of 1934, Page 4

    4

  • SEC Form 1815 (6-K) Report of Foreign Private Issuer Pursuant to Rule 13a-16 or 15d-16 Under the Securities Exchange Act of 1934, Page 1
  • SEC Form 1815 (6-K) Report of Foreign Private Issuer Pursuant to Rule 13a-16 or 15d-16 Under the Securities Exchange Act of 1934, Page 2
  • SEC Form 1815 (6-K) Report of Foreign Private Issuer Pursuant to Rule 13a-16 or 15d-16 Under the Securities Exchange Act of 1934, Page 3
  • SEC Form 1815 (6-K) Report of Foreign Private Issuer Pursuant to Rule 13a-16 or 15d-16 Under the Securities Exchange Act of 1934, Page 4
Prev 1 2 3 4 Next
ADVERTISEMENT

Related Documents