Form DFPI-260.105.33 / 34 Notice to California Commissioner of Financial Protection and Innovation of Transaction Under Rule 260.105.33 and / or Rule 260.105.34 Under the Corporate Securities Law of 1968 - California

Form DFPI-260.105.33 / 34 Notice to California Commissioner of Financial Protection and Innovation of Transaction Under Rule 260.105.33 and / or Rule 260.105.34 Under the Corporate Securities Law of 1968 - California

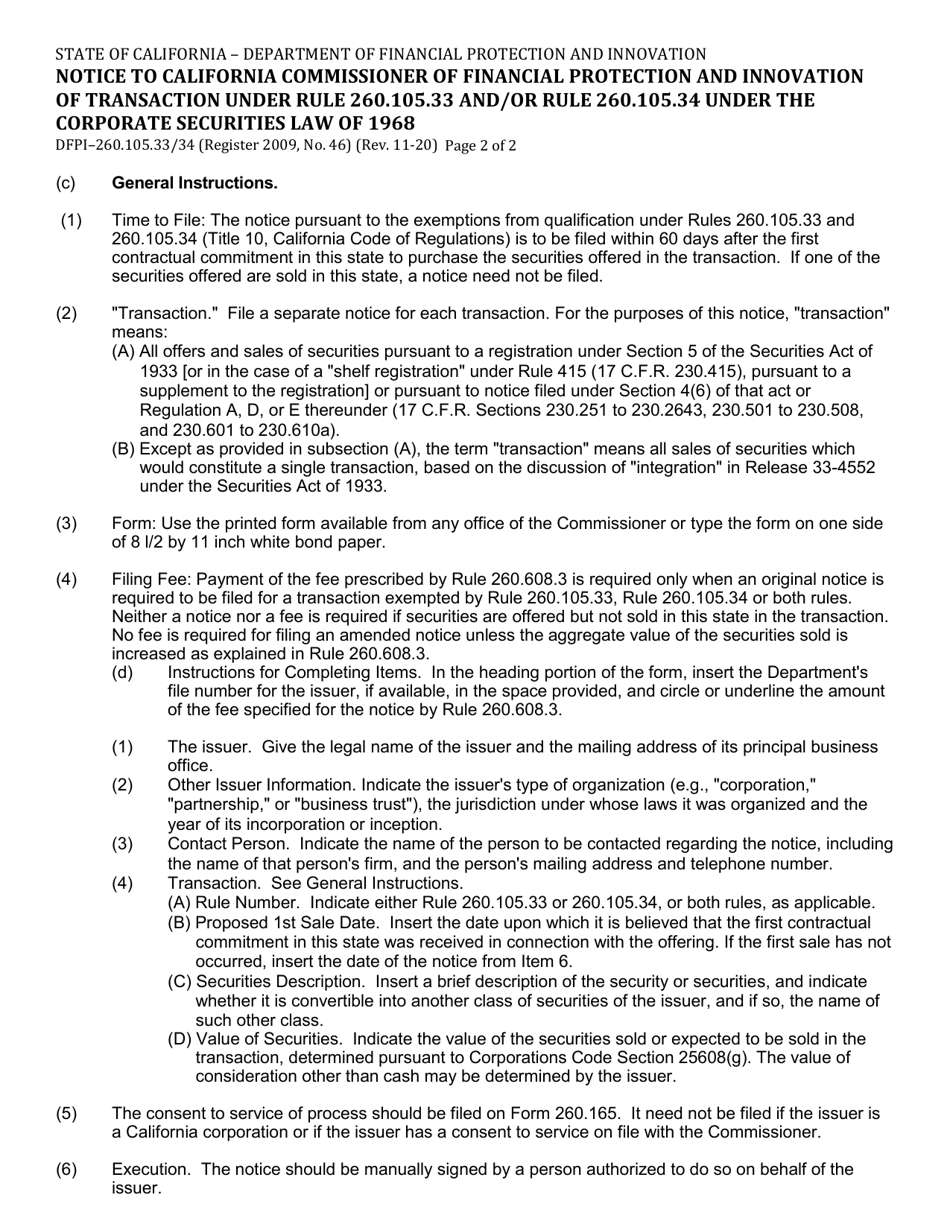
What Is Form DFPI-260.105.33/34?

This is a legal form that was released by the California Department of Financial Protection and Innovation - a government authority operating within California. As of today, no separate filing guidelines for the form are provided by the issuing department.

FAQ

Q: What is Form DFPI-260.105.33/34?
A: Form DFPI-260.105.33/34 is a notice that is required to be filed with the California Commissioner of Financial Protection and Innovation in relation to a transaction under Rule 260.105.33 and/or Rule 260.105.34 under the Corporate Securities Law of 1968.

Q: When is Form DFPI-260.105.33/34 required?
A: Form DFPI-260.105.33/34 is required to be filed when a transaction falls under Rule 260.105.33 and/or Rule 260.105.34 under the Corporate Securities Law of 1968.

Q: What is the purpose of filing Form DFPI-260.105.33/34?
A: The purpose of filing Form DFPI-260.105.33/34 is to notify the California Commissioner of Financial Protection and Innovation about a transaction that falls under Rule 260.105.33 and/or Rule 260.105.34.

Q: What is Rule 260.105.33 under the Corporate Securities Law of 1968?
A: Rule 260.105.33 is a specific rule under the Corporate Securities Law of 1968 that defines certain types of transactions.

Q: What is Rule 260.105.34 under the Corporate Securities Law of 1968?
A: Rule 260.105.34 is another rule under the Corporate Securities Law of 1968 that defines additional types of transactions.

Q: Who is required to file Form DFPI-260.105.33/34?
A: Any individual or entity involved in a transaction that falls under Rule 260.105.33 and/or Rule 260.105.34 is required to file Form DFPI-260.105.33/34.

Q: Are there any fees associated with filing Form DFPI-260.105.33/34?
A: Yes, there may be fees associated with filing Form DFPI-260.105.33/34. Please refer to the fee schedule provided by the California Commissioner of Financial Protection and Innovation for more information.

Q: Is filing Form DFPI-260.105.33/34 mandatory?
A: Yes, filing Form DFPI-260.105.33/34 is mandatory when a transaction falls under Rule 260.105.33 and/or Rule 260.105.34 under the Corporate Securities Law of 1968.

Q: What happens if I fail to file Form DFPI-260.105.33/34?
A: Failure to file Form DFPI-260.105.33/34 when required may result in penalties and legal consequences.

Q: Is there a deadline for filing Form DFPI-260.105.33/34?
A: Yes, there is a deadline for filing Form DFPI-260.105.33/34. The specific deadline can be found in the instructions provided with the form.

ADVERTISEMENT

Form Details:

  • Released on November 1, 2020;
  • The latest edition provided by the California Department of Financial Protection and Innovation;
  • Easy to use and ready to print;
  • Quick to customize;
  • Compatible with most PDF-viewing applications;
  • Fill out the form in our online filing application.

Download a fillable version of Form DFPI-260.105.33/34 by clicking the link below or browse more documents and templates provided by the California Department of Financial Protection and Innovation.

Download Form DFPI-260.105.33 / 34 Notice to California Commissioner of Financial Protection and Innovation of Transaction Under Rule 260.105.33 and / or Rule 260.105.34 Under the Corporate Securities Law of 1968 - California

4.6 of 5 (15 votes)
  • Form DFPI-260.105.33/34 Notice to California Commissioner of Financial Protection and Innovation of Transaction Under Rule 260.105.33 and/or Rule 260.105.34 Under the Corporate Securities Law of 1968 - California

    1

  • Form DFPI-260.105.33/34 Notice to California Commissioner of Financial Protection and Innovation of Transaction Under Rule 260.105.33 and/or Rule 260.105.34 Under the Corporate Securities Law of 1968 - California, Page 2

    2

  • Form DFPI-260.105.33 / 34 Notice to California Commissioner of Financial Protection and Innovation of Transaction Under Rule 260.105.33 and / or Rule 260.105.34 Under the Corporate Securities Law of 1968 - California, Page 1
  • Form DFPI-260.105.33 / 34 Notice to California Commissioner of Financial Protection and Innovation of Transaction Under Rule 260.105.33 and / or Rule 260.105.34 Under the Corporate Securities Law of 1968 - California, Page 2
Prev 1 2 Next
ADVERTISEMENT

Related Documents