Form TCEQ-20890 Waste Acceptance Plan Form - Type IV & Type IV AE Landfill Facilities - Texas

Form TCEQ-20890 Waste Acceptance Plan Form - Type IV & Type IV AE Landfill Facilities - Texas

What Is Form TCEQ-20890?

This is a legal form that was released by the Texas Commission on Environmental Quality - a government authority operating within Texas. As of today, no separate filing guidelines for the form are provided by the issuing department.

FAQ

Q: What is Form TCEQ-20890?
A: Form TCEQ-20890 is the Waste Acceptance Plan Form.

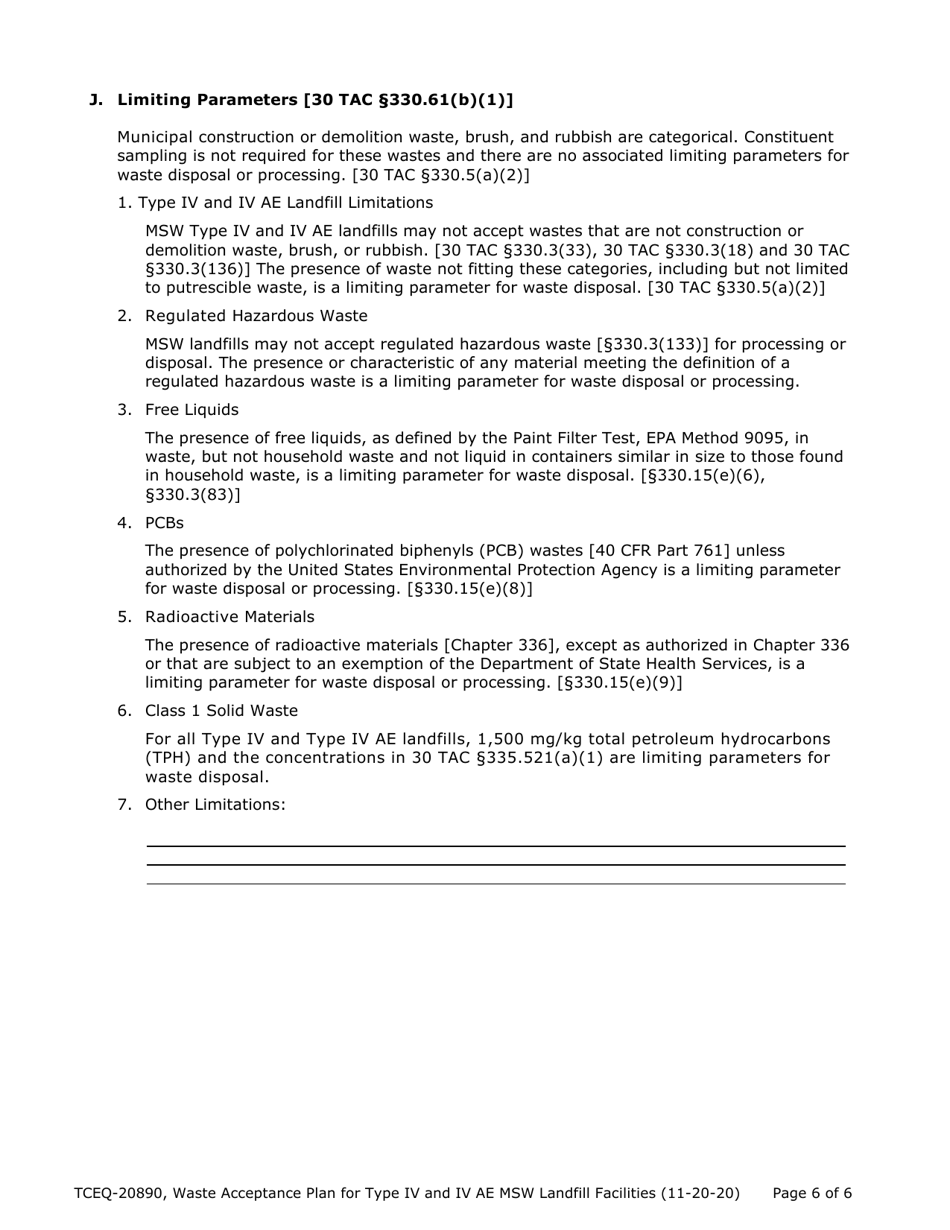
Q: What is a Waste Acceptance Plan Form?
A: A Waste Acceptance Plan Form is a document used by Type IV & Type IV AE Landfill Facilities in Texas to outline their waste acceptance and management procedures.

Q: What is a Type IV Landfill Facility?
A: A Type IV Landfill Facility is a landfill that accepts only municipal solid waste.

Q: What is a Type IV AE Landfill Facility?
A: A Type IV AE Landfill Facility is an approved expansion to a Type IV Landfill Facility.

Q: What is the purpose of the Waste Acceptance Plan Form?
A: The purpose of the Waste Acceptance Plan Form is to ensure that the landfill facility follows proper waste acceptance and management procedures.

Q: Who needs to fill out the Waste Acceptance Plan Form?
A: Type IV & Type IV AE Landfill Facilities in Texas need to fill out the Waste Acceptance Plan Form.

Q: What information is included in the Waste Acceptance Plan Form?
A: The Waste Acceptance Plan Form includes information about waste acceptance criteria, waste types accepted, and waste handling procedures.

Q: Is the Waste Acceptance Plan Form mandatory?
A: Yes, the Waste Acceptance Plan Form is mandatory for Type IV & Type IV AE Landfill Facilities in Texas.

Q: Is there a fee for submitting the Waste Acceptance Plan Form?
A: The fee for submitting the Waste Acceptance Plan Form is determined by the TCEQ and is based on the facility's annual disposal capacity.

ADVERTISEMENT

Form Details:

  • Released on November 20, 2020;
  • The latest edition provided by the Texas Commission on Environmental Quality;
  • Easy to use and ready to print;
  • Quick to customize;
  • Compatible with most PDF-viewing applications;
  • Fill out the form in our online filing application.

Download a fillable version of Form TCEQ-20890 by clicking the link below or browse more documents and templates provided by the Texas Commission on Environmental Quality.

Download Form TCEQ-20890 Waste Acceptance Plan Form - Type IV & Type IV AE Landfill Facilities - Texas

4.7 of 5 (9 votes)
  • Form TCEQ-20890 Waste Acceptance Plan Form - Type IV & Type IV AE Landfill Facilities - Texas

    1

  • Form TCEQ-20890 Waste Acceptance Plan Form - Type IV & Type IV AE Landfill Facilities - Texas, Page 2

    2

  • Form TCEQ-20890 Waste Acceptance Plan Form - Type IV & Type IV AE Landfill Facilities - Texas, Page 3

    3

  • Form TCEQ-20890 Waste Acceptance Plan Form - Type IV & Type IV AE Landfill Facilities - Texas, Page 4

    4

  • Form TCEQ-20890 Waste Acceptance Plan Form - Type IV & Type IV AE Landfill Facilities - Texas, Page 5

    5

  • Form TCEQ-20890 Waste Acceptance Plan Form - Type IV & Type IV AE Landfill Facilities - Texas, Page 6

    6

  • Form TCEQ-20890 Waste Acceptance Plan Form - Type IV  Type IV AE Landfill Facilities - Texas, Page 1
  • Form TCEQ-20890 Waste Acceptance Plan Form - Type IV  Type IV AE Landfill Facilities - Texas, Page 2
  • Form TCEQ-20890 Waste Acceptance Plan Form - Type IV  Type IV AE Landfill Facilities - Texas, Page 3
  • Form TCEQ-20890 Waste Acceptance Plan Form - Type IV  Type IV AE Landfill Facilities - Texas, Page 4
  • Form TCEQ-20890 Waste Acceptance Plan Form - Type IV  Type IV AE Landfill Facilities - Texas, Page 5
  • Form TCEQ-20890 Waste Acceptance Plan Form - Type IV  Type IV AE Landfill Facilities - Texas, Page 6
Prev 1 2 3 4 5 6 Next
ADVERTISEMENT

Related Documents