Form DOC02-361 Reentry Conditions - Washington

Notification Icon This version of the form is not currently in use and is provided for reference only. Download this version of Form DOC02-361 for the current year.

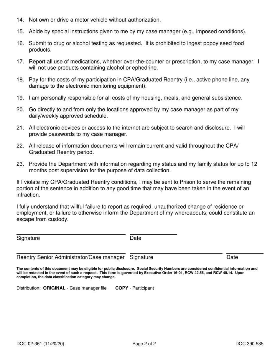
Form DOC02-361 Reentry Conditions - Washington

What Is Form DOC02-361?

This is a legal form that was released by the Washington State Department of Corrections - a government authority operating within Washington. As of today, no separate filing guidelines for the form are provided by the issuing department.

FAQ

Q: What is Form DOC02-361 Reentry Conditions?
A: Form DOC02-361 Reentry Conditions is a document used in the state of Washington to outline the conditions and requirements for an individual's reentry into society after serving their sentence in prison.

Q: Who uses Form DOC02-361 Reentry Conditions?
A: Form DOC02-361 Reentry Conditions is used by individuals who have been incarcerated in a Washington state prison and are preparing to be released back into the community.

Q: What information is included in Form DOC02-361 Reentry Conditions?
A: Form DOC02-361 Reentry Conditions includes details about the individual's supervision, treatment and counseling requirements, and any restrictions or limitations imposed on them after their release.

Q: What are the purposes of Form DOC02-361 Reentry Conditions?
A: The purposes of Form DOC02-361 Reentry Conditions are to ensure the successful reintegration of individuals back into society, promote their accountability, and reduce the risk of reoffending.

ADVERTISEMENT

Form Details:

  • Released on November 20, 2020;
  • The latest edition provided by the Washington State Department of Corrections;
  • Easy to use and ready to print;
  • Quick to customize;
  • Compatible with most PDF-viewing applications;
  • Fill out the form in our online filing application.

Download a printable version of Form DOC02-361 by clicking the link below or browse more documents and templates provided by the Washington State Department of Corrections.

Download Form DOC02-361 Reentry Conditions - Washington

4.5 of 5 (13 votes)
  • Form DOC02-361 Reentry Conditions - Washington

    1

  • Form DOC02-361 Reentry Conditions - Washington, Page 2

    2

  • Form DOC02-361 Reentry Conditions - Washington, Page 1
  • Form DOC02-361 Reentry Conditions - Washington, Page 2
Prev 1 2 Next
ADVERTISEMENT