Form GDN M502 Petition to Terminate or Change Minor Guardianship or Non-parent Custody Order - Washington

Notification Icon This version of the form is not currently in use and is provided for reference only. Download this version of Form GDN M502 for the current year.

Form GDN M502 Petition to Terminate or Change Minor Guardianship or Non-parent Custody Order - Washington

What Is Form GDN M502?

This is a legal form that was released by the Washington Superior Court - a government authority operating within Washington. As of today, no separate filing guidelines for the form are provided by the issuing department.

FAQ

Q: What is form GDN M502?
A: Form GDN M502 is a petition used in Washington to terminate or change a minor guardianship or non-parent custody order.

Q: Who can use form GDN M502?
A: Individuals involved in a minor guardianship or non-parent custody order in Washington can use form GDN M502 to request a termination or change.

Q: What can I use form GDN M502 for?
A: Form GDN M502 can be used to request the termination of a minor guardianship or non-parent custody order, or to request a change to the terms of the order.

Q: What information is required on form GDN M502?
A: Form GDN M502 requires information such as the current court case number, names of the parties involved, reasons for requesting the termination or change, and proposed changes to the order.

Q: Are there any fees associated with filing form GDN M502?
A: There may be filing fees associated with filing form GDN M502. The amount of the fee varies depending on the county where the form is filed. It is best to contact the superior court clerk's office for specific fee information.

Q: What should I do after completing form GDN M502?
A: After completing form GDN M502, it should be filed with the superior court clerk's office in the county where the minor guardianship or non-parent custody order was issued. The court will then review the petition and schedule a hearing if necessary.

ADVERTISEMENT

Form Details:

  • Released on January 1, 2021;
  • The latest edition provided by the Washington Superior Court;
  • Easy to use and ready to print;
  • Quick to customize;
  • Compatible with most PDF-viewing applications;
  • Fill out the form in our online filing application.

Download a printable version of Form GDN M502 by clicking the link below or browse more documents and templates provided by the Washington Superior Court.

Download Form GDN M502 Petition to Terminate or Change Minor Guardianship or Non-parent Custody Order - Washington

4.4 of 5 (12 votes)
  • Form GDN M502 Petition to Terminate or Change Minor Guardianship or Non-parent Custody Order - Washington

    1

  • Form GDN M502 Petition to Terminate or Change Minor Guardianship or Non-parent Custody Order - Washington, Page 2

    2

  • Form GDN M502 Petition to Terminate or Change Minor Guardianship or Non-parent Custody Order - Washington, Page 3

    3

  • Form GDN M502 Petition to Terminate or Change Minor Guardianship or Non-parent Custody Order - Washington, Page 4

    4

  • Form GDN M502 Petition to Terminate or Change Minor Guardianship or Non-parent Custody Order - Washington, Page 5

    5

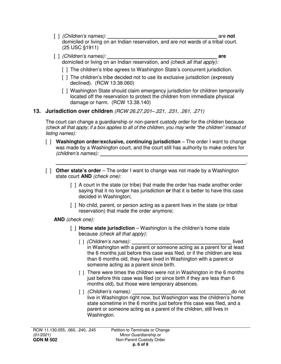
  • Form GDN M502 Petition to Terminate or Change Minor Guardianship or Non-parent Custody Order - Washington, Page 6

    6

  • Form GDN M502 Petition to Terminate or Change Minor Guardianship or Non-parent Custody Order - Washington, Page 7

    7

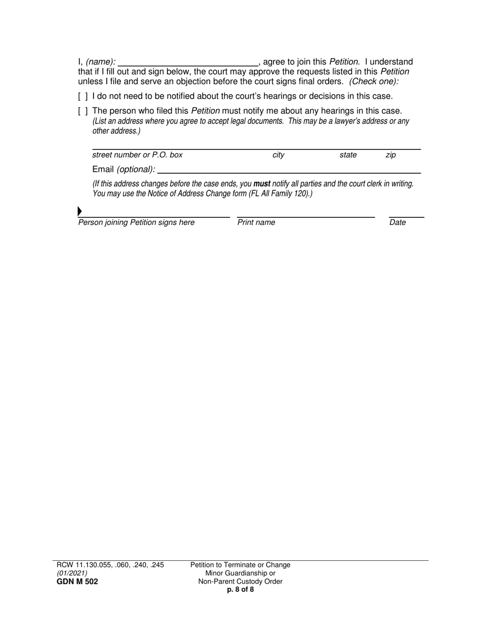
  • Form GDN M502 Petition to Terminate or Change Minor Guardianship or Non-parent Custody Order - Washington, Page 8

    8

  • Form GDN M502 Petition to Terminate or Change Minor Guardianship or Non-parent Custody Order - Washington, Page 1
  • Form GDN M502 Petition to Terminate or Change Minor Guardianship or Non-parent Custody Order - Washington, Page 2
  • Form GDN M502 Petition to Terminate or Change Minor Guardianship or Non-parent Custody Order - Washington, Page 3
  • Form GDN M502 Petition to Terminate or Change Minor Guardianship or Non-parent Custody Order - Washington, Page 4
  • Form GDN M502 Petition to Terminate or Change Minor Guardianship or Non-parent Custody Order - Washington, Page 5
  • Form GDN M502 Petition to Terminate or Change Minor Guardianship or Non-parent Custody Order - Washington, Page 6
  • Form GDN M502 Petition to Terminate or Change Minor Guardianship or Non-parent Custody Order - Washington, Page 7
  • Form GDN M502 Petition to Terminate or Change Minor Guardianship or Non-parent Custody Order - Washington, Page 8
Prev 1 2 3 4 5 ... 8 Next
ADVERTISEMENT

Related Documents