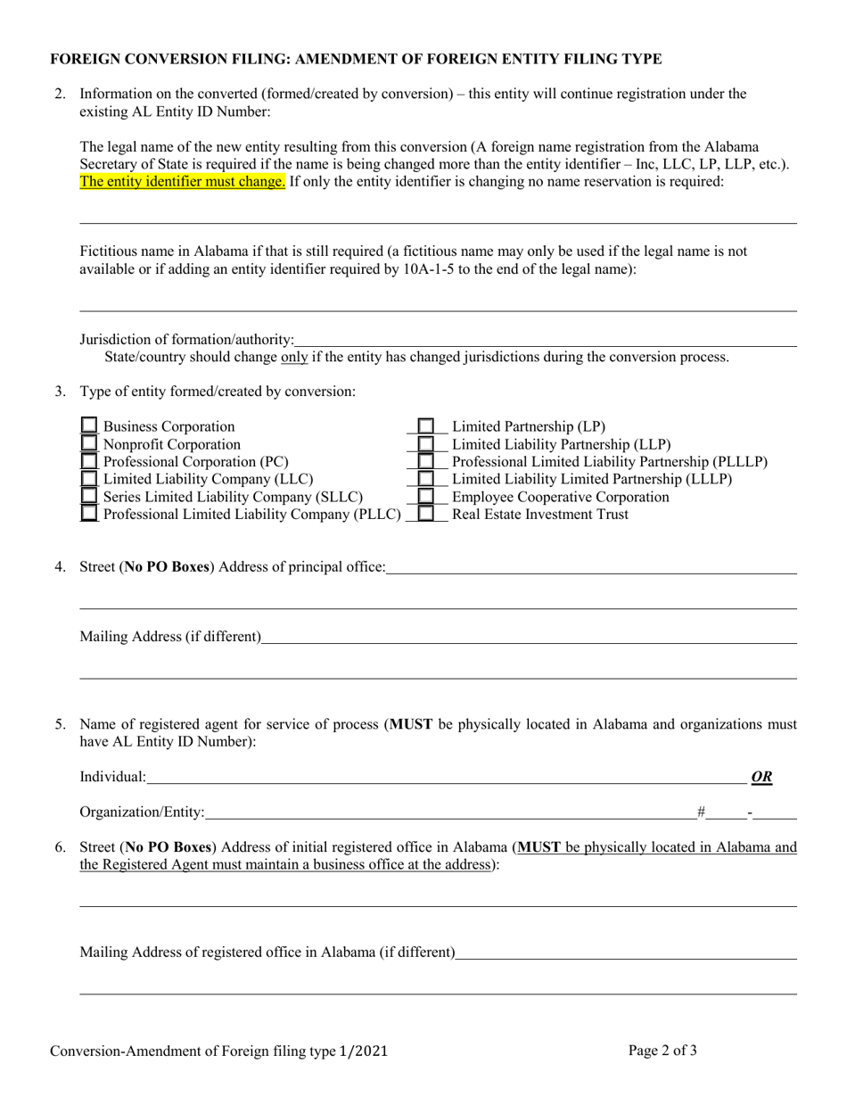
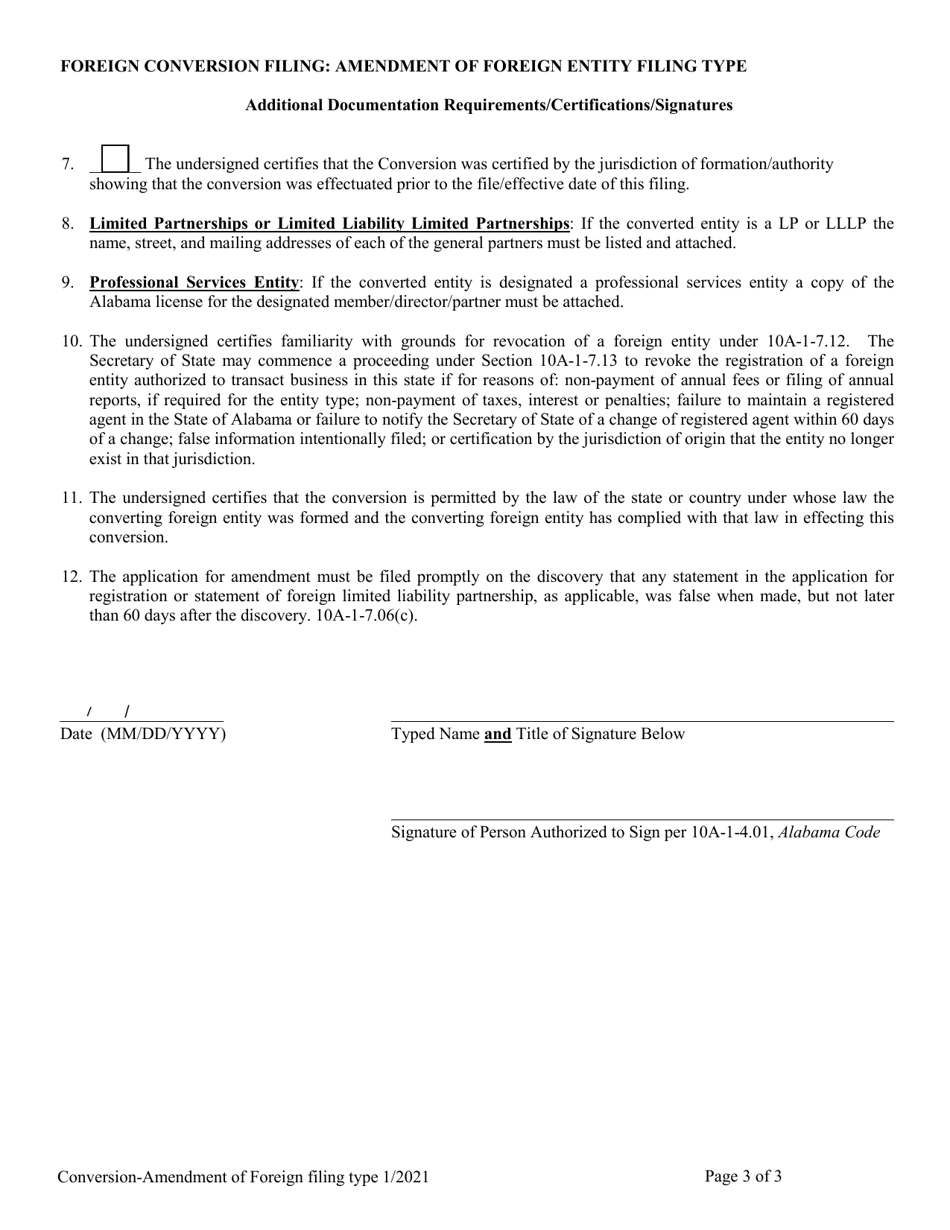
Foreign Conversion Filing: Amendment of Foreign Entity Filing Type - Alabama

Notification Icon This version of the form is not currently in use and is provided for reference only. Download this version of the document for the current year.

Foreign Conversion Filing: Amendment of Foreign Entity Filing Type - Alabama

Foreign Conversion Filing: Amendment of Foreign Entity Filing Type is a legal document that was released by the Alabama Secretary of State - a government authority operating within Alabama.

FAQ

Q: What is the Foreign Conversion Filing?
A: Foreign Conversion Filing is a type of filing for foreign entities in Alabama.

Q: What is an Amendment of Foreign Entity Filing Type?
A: Amendment of Foreign Entity Filing Type is a change made to a foreign entity's filing type.

Q: What does Amendment of Foreign Entity Filing Type do?
A: Amendment of Foreign Entity Filing Type allows foreign entities to update their filing type in Alabama.

Q: How do I file an Amendment of Foreign Entity Filing Type?
A: You can file an Amendment of Foreign Entity Filing Type by submitting the appropriate form and fee to the Alabama Secretary of State.

Q: Can I change my foreign entity's filing type in Alabama?
A: Yes, you can change your foreign entity's filing type in Alabama by filing an Amendment of Foreign Entity Filing Type.

Q: Do I need to pay a fee for filing an Amendment of Foreign Entity Filing Type?
A: Yes, there is a fee associated with filing an Amendment of Foreign Entity Filing Type. Please check with the Alabama Secretary of State for the current fee schedule.

Q: Is there a deadline for filing an Amendment of Foreign Entity Filing Type?
A: There might be a deadline for filing an Amendment of Foreign Entity Filing Type. Please check with the Alabama Secretary of State for any specific deadlines.

Q: What happens after I file an Amendment of Foreign Entity Filing Type?
A: After you file an Amendment of Foreign Entity Filing Type, the Alabama Secretary of State will process your filing and update your foreign entity's records accordingly.

ADVERTISEMENT

Form Details:

  • Released on January 1, 2021;
  • The latest edition currently provided by the Alabama Secretary of State;
  • Ready to use and print;
  • Easy to customize;
  • Compatible with most PDF-viewing applications;
  • Fill out the form in our online filing application.

Download a fillable version of the form by clicking the link below or browse more documents and templates provided by the Alabama Secretary of State.

Download Foreign Conversion Filing: Amendment of Foreign Entity Filing Type - Alabama

4.4 of 5 (11 votes)
  • Foreign Conversion Filing: Amendment of Foreign Entity Filing Type - Alabama

    1

  • Foreign Conversion Filing: Amendment of Foreign Entity Filing Type - Alabama, Page 2

    2

  • Foreign Conversion Filing: Amendment of Foreign Entity Filing Type - Alabama, Page 3

    3

  • Foreign Conversion Filing: Amendment of Foreign Entity Filing Type - Alabama, Page 4

    4

  • Foreign Conversion Filing: Amendment of Foreign Entity Filing Type - Alabama, Page 1
  • Foreign Conversion Filing: Amendment of Foreign Entity Filing Type - Alabama, Page 2
  • Foreign Conversion Filing: Amendment of Foreign Entity Filing Type - Alabama, Page 3
  • Foreign Conversion Filing: Amendment of Foreign Entity Filing Type - Alabama, Page 4
Prev 1 2 3 4 Next
ADVERTISEMENT