Form BPV-010 Application for License as Fireman or Engineer - Massachusetts

Notification Icon This version of the form is not currently in use and is provided for reference only. Download this version of Form BPV-010 for the current year.

Form BPV-010 Application for License as Fireman or Engineer - Massachusetts

What Is Form BPV-010?

This is a legal form that was released by the Massachusetts Department of Fire Services - a government authority operating within Massachusetts. As of today, no separate filing guidelines for the form are provided by the issuing department.

FAQ

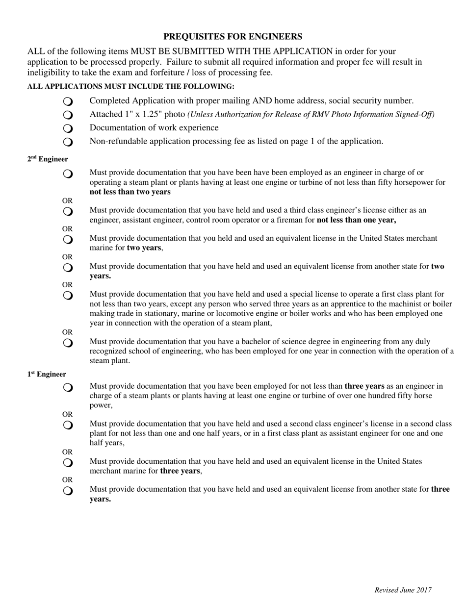
Q: What is form BPV-010?
A: Form BPV-010 is an application for a license as a Firemen or Engineer in Massachusetts.

Q: Who is required to submit form BPV-010?
A: Individuals who want to obtain a license as a Firemen or Engineer in Massachusetts are required to submit form BPV-010.

Q: What is the purpose of form BPV-010?
A: The purpose of form BPV-010 is to apply for a license as a Firemen or Engineer in Massachusetts.

Q: What information is required on form BPV-010?
A: Form BPV-010 requires information such as personal details, employment history, and education qualifications.

ADVERTISEMENT

Form Details:

  • Released on June 1, 2017;
  • The latest edition provided by the Massachusetts Department of Fire Services;
  • Easy to use and ready to print;
  • Quick to customize;
  • Compatible with most PDF-viewing applications;
  • Fill out the form in our online filing application.

Download a fillable version of Form BPV-010 by clicking the link below or browse more documents and templates provided by the Massachusetts Department of Fire Services.

Download Form BPV-010 Application for License as Fireman or Engineer - Massachusetts

4.7 of 5 (15 votes)
  • Form BPV-010 Application for License as Fireman or Engineer - Massachusetts

    1

  • Form BPV-010 Application for License as Fireman or Engineer - Massachusetts, Page 2

    2

  • Form BPV-010 Application for License as Fireman or Engineer - Massachusetts, Page 3

    3

  • Form BPV-010 Application for License as Fireman or Engineer - Massachusetts, Page 4

    4

  • Form BPV-010 Application for License as Fireman or Engineer - Massachusetts, Page 5

    5

  • Form BPV-010 Application for License as Fireman or Engineer - Massachusetts, Page 6

    6

  • Form BPV-010 Application for License as Fireman or Engineer - Massachusetts, Page 1
  • Form BPV-010 Application for License as Fireman or Engineer - Massachusetts, Page 2
  • Form BPV-010 Application for License as Fireman or Engineer - Massachusetts, Page 3
  • Form BPV-010 Application for License as Fireman or Engineer - Massachusetts, Page 4
  • Form BPV-010 Application for License as Fireman or Engineer - Massachusetts, Page 5
  • Form BPV-010 Application for License as Fireman or Engineer - Massachusetts, Page 6
Prev 1 2 3 4 5 6 Next
ADVERTISEMENT