Form 4B Litigation Guardian: Mental Incapacity - Ontario, Canada

Notification Icon This version of the form is not currently in use and is provided for reference only. Download this version of Form 4B for the current year.

Form 4B Litigation Guardian: Mental Incapacity - Ontario, Canada

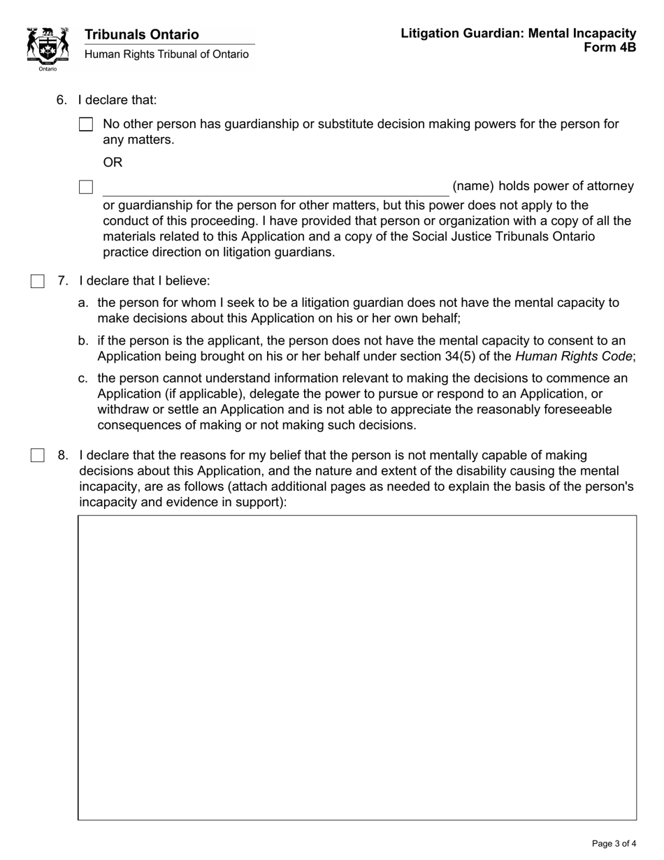
Form 4B Litigation Guardian: Mental Incapacity in Ontario, Canada is used when a person does not have the capacity to make decisions and needs someone to act on their behalf in a legal proceeding. It allows a guardian to be appointed to represent the person's interests and make decisions for them during the litigation process.

In Ontario, Canada, the Form 4B Litigation Guardian for someone with mental incapacity is typically filed by a person who is appointed by the court to represent and make decisions on behalf of the incapacitated individual. This person is often a family member, such as a parent, spouse, or adult child, or a professional guardian.

FAQ

Q: What is a Form 4B Litigation Guardian?
A: A Form 4B Litigation Guardian is a person appointed by the court to represent the interests of someone who is mentally incapable of making decisions in Ontario, Canada.

Q: When is a Form 4B Litigation Guardian required?
A: A Form 4B Litigation Guardian is required when a person involved in a legal proceeding is mentally incapable and needs someone to make decisions on their behalf.

Q: Who can be a Form 4B Litigation Guardian?
A: A Form 4B Litigation Guardian can be a family member or any other person who is willing and able to act in the best interests of the incapable person. It does not have to be a lawyer.

Q: What is the process of appointing a Form 4B Litigation Guardian?
A: The process of appointing a Form 4B Litigation Guardian involves submitting a Form 4B to the court, providing evidence of the person's mental incapacity, and demonstrating that the proposed guardian is suitable and capable of acting in the person's best interests.

Q: What are the responsibilities of a Form 4B Litigation Guardian?
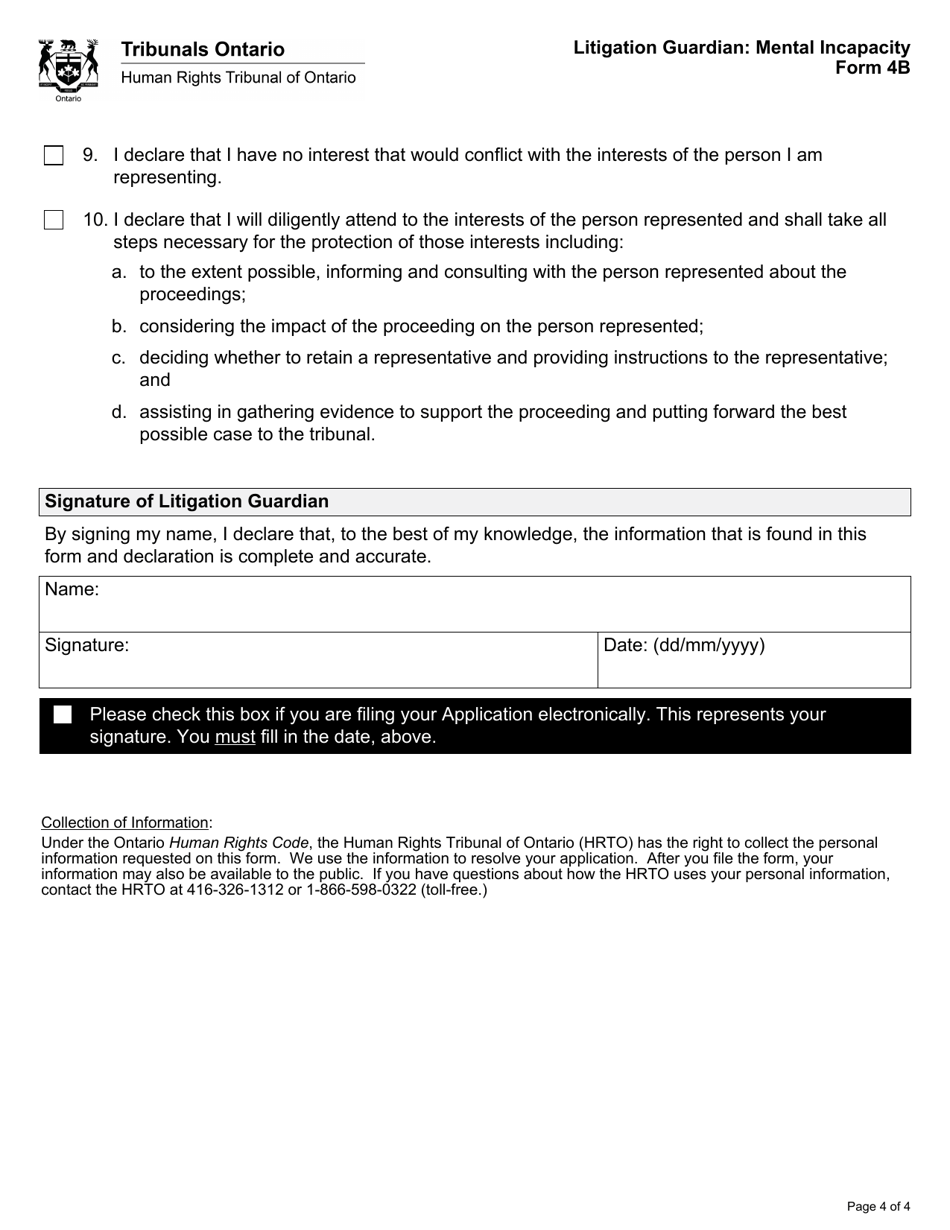
A: A Form 4B Litigation Guardian has the responsibility to represent and make decisions on behalf of the mentally incapable person in the legal proceeding, while always acting in their best interests.

Q: What happens if a Form 4B Litigation Guardian is not appointed?
A: If a Form 4B Litigation Guardian is not appointed for a mentally incapable person, the court may delay the proceeding until a guardian is appointed or take other necessary steps to protect the person's rights.

ADVERTISEMENT

Download Form 4B Litigation Guardian: Mental Incapacity - Ontario, Canada

4.5 of 5 (20 votes)
  • Form 4B Litigation Guardian: Mental Incapacity - Ontario, Canada

    1

  • Form 4B Litigation Guardian: Mental Incapacity - Ontario, Canada, Page 2

    2

  • Form 4B Litigation Guardian: Mental Incapacity - Ontario, Canada, Page 3

    3

  • Form 4B Litigation Guardian: Mental Incapacity - Ontario, Canada, Page 4

    4

  • Form 4B Litigation Guardian: Mental Incapacity - Ontario, Canada, Page 1
  • Form 4B Litigation Guardian: Mental Incapacity - Ontario, Canada, Page 2
  • Form 4B Litigation Guardian: Mental Incapacity - Ontario, Canada, Page 3
  • Form 4B Litigation Guardian: Mental Incapacity - Ontario, Canada, Page 4
Prev 1 2 3 4 Next
ADVERTISEMENT