Application for on-Premise Taste Tasting Event Permit - Maine

Application for on-Premise Taste Tasting Event Permit - Maine

Application for on-Premise Taste Tasting Event Permit is a legal document that was released by the Maine Department of Administrative and Financial Services - a government authority operating within Maine.

FAQ

Q: What is an On-Premise Taste Tasting Event Permit?
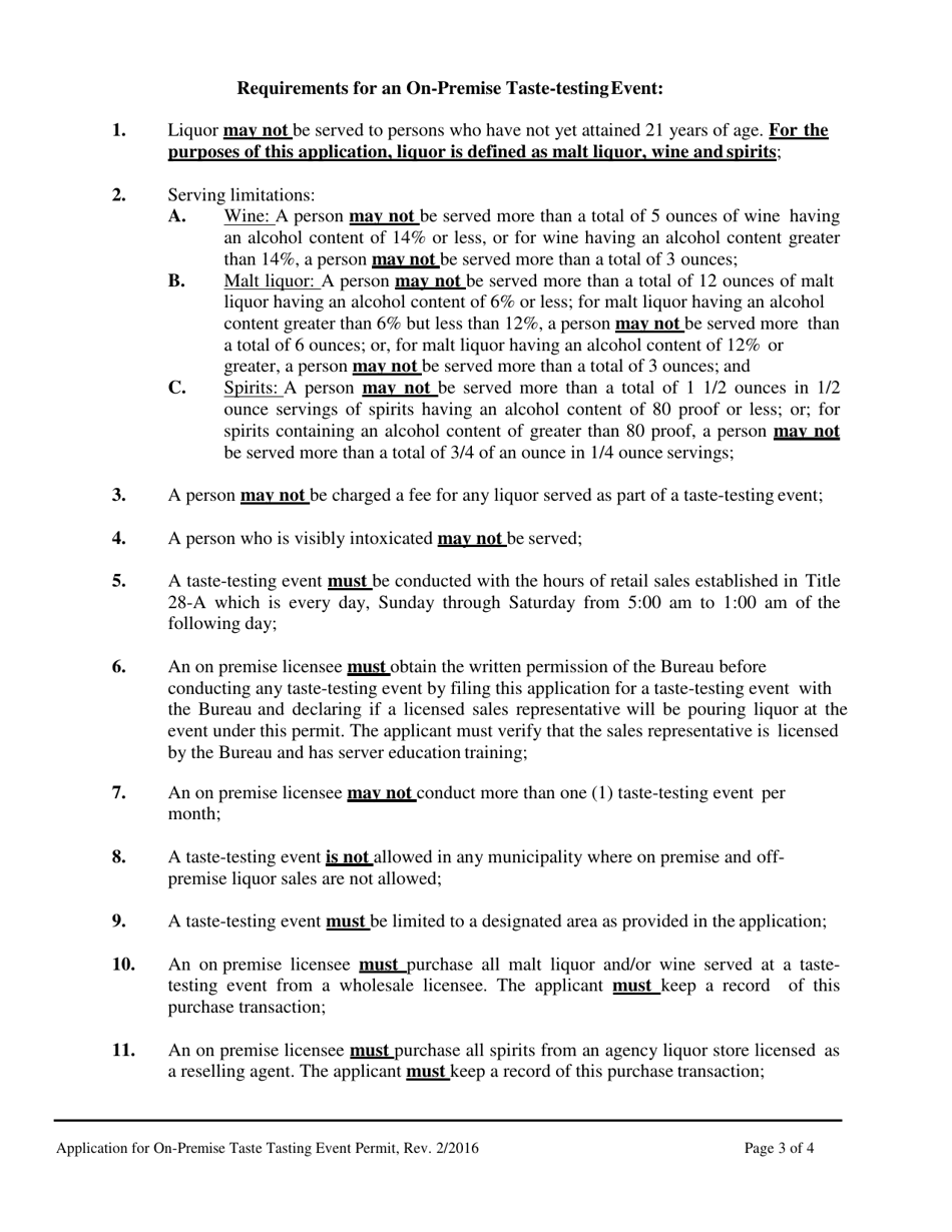
A: An On-Premise Taste Tasting Event Permit allows the hosting of sampling events where alcoholic beverages are offered for tasting.

Q: Who needs to apply for an On-Premise Taste Tasting Event Permit in Maine?
A: Anyone planning to host a taste tasting event where alcoholic beverages will be sampled needs to apply for this permit.

Q: How do I apply for an On-Premise Taste Tasting Event Permit in Maine?
A: To apply for this permit, you need to complete the necessary application form and submit it to the Maine Department of Public Safety's Liquor Licensing and Compliance Unit.

Q: Are there any fees associated with the On-Premise Taste Tasting Event Permit?
A: Yes, there is a fee for the permit application. The fee amount may vary, so it's best to check the current fee schedule with the Maine Department of Public Safety.

Q: Can I serve food at an On-Premise Taste Tasting Event?
A: Yes, you can serve food at the event, but the primary focus must be on the sampling and tasting of alcoholic beverages.

Q: Are there any restrictions on the types of alcoholic beverages that can be sampled at an event?
A: The types of alcoholic beverages that can be sampled may vary depending on the specific regulations and requirements set by the Maine Department of Public Safety. It's important to review the rules and guidelines for the specific event permit.

Q: Is there an age restriction for participants at an On-Premise Taste Tasting Event?
A: Yes, participants must be at least 21 years old to sample alcoholic beverages at an On-Premise Taste Tasting Event.

Q: How long does it take to process the application for an On-Premise Taste Tasting Event Permit?
A: The processing time for the permit application can vary. It is recommended to submit the application well in advance of the event date to allow sufficient time for processing.

Q: Can I sell alcoholic beverages at an On-Premise Taste Tasting Event?
A: No, the On-Premise Taste Tasting Event Permit only allows for sampling and tasting of alcoholic beverages. Selling of alcoholic beverages requires a separate license.

Q: What are the consequences of hosting a taste tasting event without a permit?
A: Hosting a taste tasting event without a permit is against the law and can result in penalties and legal consequences. It's important to comply with the permitting requirements to avoid any issues.

ADVERTISEMENT

Form Details:

  • Released on August 1, 2017;
  • The latest edition currently provided by the Maine Department of Administrative and Financial Services;
  • Ready to use and print;
  • Easy to customize;
  • Compatible with most PDF-viewing applications;
  • Fill out the form in our online filing application.

Download a fillable version of the form by clicking the link below or browse more documents and templates provided by the Maine Department of Administrative and Financial Services.

Download Application for on-Premise Taste Tasting Event Permit - Maine

4.7 of 5 (16 votes)
  • Application for on-Premise Taste Tasting Event Permit - Maine

    1

  • Application for on-Premise Taste Tasting Event Permit - Maine, Page 2

    2

  • Application for on-Premise Taste Tasting Event Permit - Maine, Page 3

    3

  • Application for on-Premise Taste Tasting Event Permit - Maine, Page 4

    4

  • Application for on-Premise Taste Tasting Event Permit - Maine, Page 1
  • Application for on-Premise Taste Tasting Event Permit - Maine, Page 2
  • Application for on-Premise Taste Tasting Event Permit - Maine, Page 3
  • Application for on-Premise Taste Tasting Event Permit - Maine, Page 4
Prev 1 2 3 4 Next
ADVERTISEMENT