Qualified Catering Organization Application for Catered Function - Maine

Notification Icon This version of the form is not currently in use and is provided for reference only. Download this version of the document for the current year.

Qualified Catering Organization Application for Catered Function - Maine

Qualified Catering Organization Application for Catered Function is a legal document that was released by the Maine Department of Administrative and Financial Services - a government authority operating within Maine.

FAQ

Q: What is the application for?
A: The application is for a catered function in Maine.

Q: Who needs to submit the application?
A: A qualified catering organization needs to submit the application.

Q: What is a qualified catering organization?
A: A qualified catering organization is a professional catering company.

Q: What information is required in the application?
A: The application requires details about the function, menu, and catering organization.

Q: Are there any specific requirements for the catered function?
A: Specific requirements may vary, so it is recommended to refer to the application form for details.

Q: What is the purpose of the application?
A: The application is to ensure that the catered function meets health and safety regulations.

Q: Is there a fee for submitting the application?
A: Fees may apply, it is best to consult the application form or relevant authorities for details.

Q: How long does it take to process the application?
A: Processing times may vary, it is advisable to submit the application well in advance of the function date.

Q: Can individuals cater their own functions?
A: Individuals may not be eligible to cater their own functions, as a qualified catering organization is usually required.

ADVERTISEMENT

Form Details:

  • Released on August 1, 2019;
  • The latest edition currently provided by the Maine Department of Administrative and Financial Services;
  • Ready to use and print;
  • Easy to customize;
  • Compatible with most PDF-viewing applications;
  • Fill out the form in our online filing application.

Download a printable version of the form by clicking the link below or browse more documents and templates provided by the Maine Department of Administrative and Financial Services.

Download Qualified Catering Organization Application for Catered Function - Maine

4.7 of 5 (18 votes)
  • Qualified Catering Organization Application for Catered Function - Maine

    1

  • Qualified Catering Organization Application for Catered Function - Maine, Page 2

    2

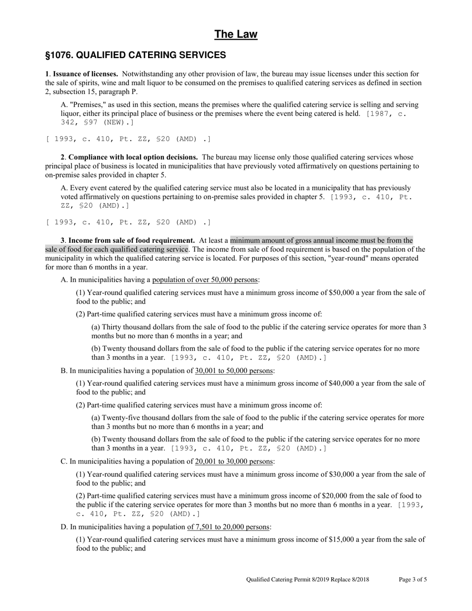
  • Qualified Catering Organization Application for Catered Function - Maine, Page 3

    3

  • Qualified Catering Organization Application for Catered Function - Maine, Page 4

    4

  • Qualified Catering Organization Application for Catered Function - Maine, Page 5

    5

  • Qualified Catering Organization Application for Catered Function - Maine, Page 1
  • Qualified Catering Organization Application for Catered Function - Maine, Page 2
  • Qualified Catering Organization Application for Catered Function - Maine, Page 3
  • Qualified Catering Organization Application for Catered Function - Maine, Page 4
  • Qualified Catering Organization Application for Catered Function - Maine, Page 5
Prev 1 2 3 4 5 Next
ADVERTISEMENT